【药物名称】Tropapride hydrochloride, MD-790501
化学结构式(Chemical Structure):
参考文献No.71711
标题:Tropapride Hydrochloride
作者:Ancher, J.F.
来源:Drugs Fut 1984,9(9),673
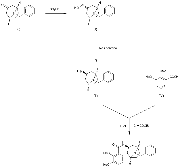
合成路线图解说明:

Treatment of 8-benzylnortropinone (I), obtained via Robinson-Sch鰌f cyclization with hydroxylamine gives the corresponding oxime (II), which is reduced with sodium in pentanol to yield the stereochemically pure 3beta-aminotropane derivative (III). This compound is condensed with 2,3-dimethoxybenzoic acid (IV) by means of ethyl chlorocarbonate and triethylamine.

Drug Information Express,Drug R&D,Chemical Database,Patent Search.
Copyright © 2006-2026 Drug Future. All rights reserved.Contact Us