【药物名称】Rimantadine hydrochloride, EXP-126, Oclovir, Flumadine, Roflual
化学结构式(Chemical Structure):
参考文献No.46460
标题:Verfahren zur Herstellung von alpha-Methyl-polycyclomethylaminen
作者:Brake, L.D. (DuPont Pharmaceuticals Co.)
来源:CH 495944; DE 1668571; FR 1568056; US 3489802
合成路线图解说明:

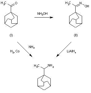
The compound can be obtained by two different ways: 1) The reaction of 1-acetyladamantane (I) with hydroxylamine gives the corresponding oxime (II), which is then reduced with LiAlH4 in THF. 2) By reaction of (I) with ammonia and H2 with a catalyst of Co on diatomite.

参考文献No.46461
标题:Adamantanes and tricyclo[4.3.1.1(3,8)]undecanes
作者:Prichard, W.W. (DuPont Pharmaceuticals Co.)
来源:FR 1572956; GB 1069563; NL 6408505; US 3352912
合成路线图解说明:

The compound can be obtained by two different ways: 1) The reaction of 1-acetyladamantane (I) with hydroxylamine gives the corresponding oxime (II), which is then reduced with LiAlH4 in THF. 2) By reaction of (I) with ammonia and H2 with a catalyst of Co on diatomite.

参考文献No.49425
标题:Rimantadine Hydrochloride
作者:Serradell, M.N.; Casta馿r, J.; Robinson, C.P.
来源:Drugs Fut 1984,9(9),660
合成路线图解说明:

The compound can be obtained by two different ways: 1) The reaction of 1-acetyladamantane (I) with hydroxylamine gives the corresponding oxime (II), which is then reduced with LiAlH4 in THF. 2) By reaction of (I) with ammonia and H2 with a catalyst of Co on diatomite.

Drug Information Express,Drug R&D,Chemical Database,Patent Search.
Copyright © 2006-2026 Drug Future. All rights reserved.Contact Us