【药物名称】Nomegestrol acetate, TX-066, Uniplant, Lutenyl
化学结构式(Chemical Structure):
参考文献No.46480
标题:3,20-Diketo-6-methyl-17alpha-hydroxy-19-norpregna-4,6-diene, its esters and the uses thereof
作者:Gastaud, J.M.
来源:GB 1515284; JP 7561456; US 4544555
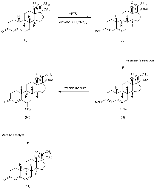
合成路线图解说明:

Enol etherification of 17(alpha)-acetoxy-19-norprogesterone (I) by methyl orthoformate and p-toluene sulfonic acid in dioxan, followed by Vilsmeier's reaction with dimethylformamide and phosphorus oxychloride. After reduction and dehydration with strong acid, the 6-methylene group is isomerized by metallic catalyst to obtain 17(alpha)-acetoxy-19-norpregna-4,6-diene-3,20-dione.

参考文献No.49423
标题:Nomegestrol Acetate
作者:Thevenot, R.
来源:Drugs Fut 1984,9(9),657
合成路线图解说明:

Enol etherification of 17(alpha)-acetoxy-19-norprogesterone (I) by methyl orthoformate and p-toluene sulfonic acid in dioxan, followed by Vilsmeier's reaction with dimethylformamide and phosphorus oxychloride. After reduction and dehydration with strong acid, the 6-methylene group is isomerized by metallic catalyst to obtain 17(alpha)-acetoxy-19-norpregna-4,6-diene-3,20-dione.

Drug Information Express,Drug R&D,Chemical Database,Patent Search.
Copyright © 2006-2026 Drug Future. All rights reserved.Contact Us