【药物名称】Pimonidazole hydrochloride, Ro-038799
化学结构式(Chemical Structure):
参考文献No.42014
标题:Preparation of polyacetylalkylenediamines
作者:Grimmelikhuysen, J.; Schroeder, A. (Unilever NV)
来源:BE 769655; DE 2133458; FR 2100320; GB 1335204
合成路线图解说明:

1) By condensation of 2-nitroimidazole (I) with 3-(1-piperidino)propyliene oxide (II) in refluxing ethanol.

合成路线图解说明:

Hexamethylenebisacetamide is prepared by reacting 1,6-hexanediamine (I) with two moles of acetic acid.

参考文献No.42018
标题:Method of producing 2-phenyl-2-carboxyethyl ester of 1-p-chlorobenzoyl-5-methoxy-2-methyl-3-indolyl acetic acid
作者:Fisnerova, L.; Nemecek, O.
来源:CS 194284
合成路线图解说明:

2) By condensation of 1-(3-chloro 2 hydroxypropyl)-2-nitroimidazole (III) with piperidine (IV) in refluxing methanol.

合成路线图解说明:

3) By condensation of 1-(2,3-epoxypropyl)-2 nitroimidazole (V) with (IV) in refluxing ethanol.

合成路线图解说明:

1) The reaction of N1-(4-chlorobenzoyl)-N1-(4-methoxyphenyl)hydrazine (I) [the starting material for the synthesis of indomethacin], with d,l-(2-carboxyethyl-2-phenyl)-4-oxopentanoate (II) under the conditions of Fischer indole synthesis by means of 100% phosphoric acid in toluene at 100 C. d,l-(2-Carboxyethyl-2-phenyl)-4-oxopentanoate (II) is obtained hy treatment of d,l-tropic acid with levulinic acid chloride.

参考文献No.66417
标题:RO-038799
作者:Casta馿r, J.; Prous, J.
来源:Drugs Fut 1986,11(7),580
合成路线图解说明:

1) By condensation of 2-nitroimidazole (I) with 3-(1-piperidino)propyliene oxide (II) in refluxing ethanol.

合成路线图解说明:

2) By condensation of 1-(3-chloro 2 hydroxypropyl)-2-nitroimidazole (III) with piperidine (IV) in refluxing methanol.

合成路线图解说明:

3) By condensation of 1-(2,3-epoxypropyl)-2 nitroimidazole (V) with (IV) in refluxing ethanol.

参考文献No.112308
标题:Labelled compounds of interest as antitumour agents. Part II (1). Synthesis of 2H and 3H isotopomers of RSU 1069 and Ro 03-8799 (pimonidazole)
作者:Webb, P.; Threadgill, M.D.
来源:J Label Compd Radiopharm 1990,28(3),257
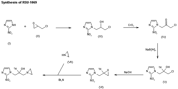
合成路线图解说明:

[2H]-Labeled RSU-1069 is synthesized as follows: The condensation of 2-nitroimidazole (I) with 3-chloro-1,2-epoxypropane (II) gives 1-(3-chloro-2-hydroxypropyl)-2-nitroimidazole (III), which is oxidized with CrO3 - H2SO4 in acetone yielding 1-(3-chloro-2-oxopropyl)-2-nitroimidazole (IV). The reduction of (IV) with NaB[2H]4 in ethanol affords 1-(3-chloro-2-hydroxy-2(2H)-propyl)-2-nitroimidazole (V), which is cyclized with NaOH to the corresponding labeled epoxide (VI). Finally, this compound is condensed with aziridine (VII) by means of triethylamine in refluxing ethanol.

合成路线图解说明:

[2H]-Labeled pimonidazole is synthesized as follows: The condensation of 2-nitroimidazole (I) with 3-chloro-1,2-epoxypropane (II) gives 1-(3-chloro-2-hydroxypropyl)-2-nitroimidazole (III), which is oxidized with CrO3 - H2SO4 in acetone yielding 1-(3-chloro-2-oxopropyl)-2-nitroimidazole (IV). The reduction of (IV) with NaB[2H]4 in ethanol affords 1-(3-chloro-2-hydroxy-2(2H)-propyl)-2-nitroimidazole (V), which is cyclized with NaOH to the corresponding labeled epoxide (VI). Finally, this compound is condensed with piperidine (VII) in refluxing ethanol.

Drug Information Express,Drug R&D,Chemical Database,Patent Search.
Copyright © 2006-2026 Drug Future. All rights reserved.Contact Us