【药物名称】Alacepril, DU-1219, Cetapril
化学结构式(Chemical Structure):
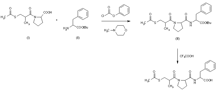
参考文献No.13172
标题:1-(3-Mercapto-2-methylpropanoyl)prolylamino acid derivs.
作者:Sawayama, T.; Kinugasa, H.; Nishimura, A.; Takeyama, K.; Hosoki, K. (Dainippon Pharmaceutical Co., Ltd.)
来源:JP 1980009058; US 4248883
合成路线图解说明:

The condensation of 1-(D-3-acetylthio-2-methylpropanoyl)-L-proline (I) with L-phenylalanine tert-butyl ester (II) by means of N-methylmorpholine and phenyl chloroformate in THF gives 1-(D-3-acetyl-thio-2-methylpropanoyl)-L-prolyl-L-phenylalanine tert-butyl ester (III), which is hydrolyzed with trifluoroacetic acid in anisole.

参考文献No.64383
标题:Alacepril
作者:Casta馿r, J.; Mannhold, R.
来源:Drugs Fut 1986,11(5),357
合成路线图解说明:

The condensation of 1-(D-3-acetylthio-2-methylpropanoyl)-L-proline (I) with L-phenylalanine tert-butyl ester (II) by means of N-methylmorpholine and phenyl chloroformate in THF gives 1-(D-3-acetyl-thio-2-methylpropanoyl)-L-prolyl-L-phenylalanine tert-butyl ester (III), which is hydrolyzed with trifluoroacetic acid in anisole.

Drug Information Express,Drug R&D,Chemical Database,Patent Search.
Copyright © 2006-2026 Drug Future. All rights reserved.Contact Us