【药物名称】Bofumustine, RFCNU, ICI-G1105
化学结构式(Chemical Structure):
参考文献No.71724
标题:Bofumustine
作者:Eastland, G.
来源:Drugs Fut 1984,9(9),641
合成路线图解说明:

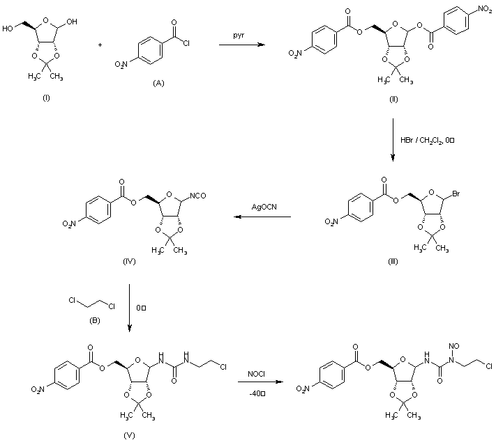
The synthesis of RFCNU from 2,3-O-isopropylidene-5-O-p-nitrobenzoyl-beta-D-ribosyl bromide (III) has been described, as well as the preparation of 2,3-O-isopropylidene-5-O-p-nitrobenzoyl-beta-D-ribosyl bromide from 2,3-O-isopropylidene-D-ribosyl-furanose (I). Briefly, the synthesis is as follows: A cold solution of 2,3-O-isopropylidene-D-ribofuranose (I) in dry pyridine is stirred and treated with p-nitrobenzoyl chloride (A). Workup gives 2,3-O-isopropylene-1,5-di-O-p-nitrobenzoyl-D-ribofuranose (II), which is crystallized from methylene chloride/ether. (II) is added in portions to a dry solution of methylene chloride saturated with HBr at 0 C and stirred for 0.5 h. It is warmed to room temperature, the precipitated p-nitrobenzoic acid removed by filtration (under argon) and the filtrate concentrated. Addition of petroleum ether/diethyl ether and partial concentration by vacuum gives crystals of 2,3-isopropylidene-5-O-p-nitrobenzoyl-beta-ribosyl bromide (III). (III), dissolved in toluene, is reacted with silver isocyanate and refluxed under nitrogen. Silver bromide is filtered off and the filtrate concentrated by evaporation, yielding an oil. Dissolution of the oil in acetonitrile and cooling to -40 C yields crystals of isocyanato-1-O-isopropylidene-2,3-O-p-nitrobenzoyl-5-D-ribofuranose (IV). (IV) is reacted with an aqueous solution of 2-chloroethylamine (B) and the solution extracted with benzene. The organic base is separated, dried and refrigerated. Warming gives a yellow oil, which is treated with ethanol to give crystalline (chloro-2-ethyl)-1-(ribofuranosylisopropylidene-2',3'-p-nitrobenzoate-5')-3-urea (V). (V) is dissolved in methylene chloride, cooled to -40 C and an excess of liquid nitrosyl chloride (NOCl) is added with stirring. Addition of a mixture of chloroform and petroleum ether gives crystals of (chloro-2-ethyl)-1-(ribofuranosylisopropylidene-2',3'-p-nitrobenzoate-5')-3-nitrosourea (RFCNU). The synthesis may be modified to yield either the alpha or beta anomer. Both anomeric forms have shown the same antitumor activity.

参考文献No.800303
标题:Sur une nouvelle voie de synthese de la R.F.C.N.U
作者:Imbach, J.L.; Montero, J.L.; Rodriguez, M.
来源:Eur J Med Chem - Chim Ther 1977,12408-412
合成路线图解说明:

The synthesis of RFCNU from 2,3-O-isopropylidene-5-O-p-nitrobenzoyl-beta-D-ribosyl bromide (III) has been described, as well as the preparation of 2,3-O-isopropylidene-5-O-p-nitrobenzoyl-beta-D-ribosyl bromide from 2,3-O-isopropylidene-D-ribosyl-furanose (I). Briefly, the synthesis is as follows: A cold solution of 2,3-O-isopropylidene-D-ribofuranose (I) in dry pyridine is stirred and treated with p-nitrobenzoyl chloride (A). Workup gives 2,3-O-isopropylene-1,5-di-O-p-nitrobenzoyl-D-ribofuranose (II), which is crystallized from methylene chloride/ether. (II) is added in portions to a dry solution of methylene chloride saturated with HBr at 0 C and stirred for 0.5 h. It is warmed to room temperature, the precipitated p-nitrobenzoic acid removed by filtration (under argon) and the filtrate concentrated. Addition of petroleum ether/diethyl ether and partial concentration by vacuum gives crystals of 2,3-isopropylidene-5-O-p-nitrobenzoyl-beta-ribosyl bromide (III). (III), dissolved in toluene, is reacted with silver isocyanate and refluxed under nitrogen. Silver bromide is filtered off and the filtrate concentrated by evaporation, yielding an oil. Dissolution of the oil in acetonitrile and cooling to -40 C yields crystals of isocyanato-1-O-isopropylidene-2,3-O-p-nitrobenzoyl-5-D-ribofuranose (IV). (IV) is reacted with an aqueous solution of 2-chloroethylamine (B) and the solution extracted with benzene. The organic base is separated, dried and refrigerated. Warming gives a yellow oil, which is treated with ethanol to give crystalline (chloro-2-ethyl)-1-(ribofuranosylisopropylidene-2',3'-p-nitrobenzoate-5')-3-urea (V). (V) is dissolved in methylene chloride, cooled to -40 C and an excess of liquid nitrosyl chloride (NOCl) is added with stirring. Addition of a mixture of chloroform and petroleum ether gives crystals of (chloro-2-ethyl)-1-(ribofuranosylisopropylidene-2',3'-p-nitrobenzoate-5')-3-nitrosourea (RFCNU). The synthesis may be modified to yield either the alpha or beta anomer. Both anomeric forms have shown the same antitumor activity.

参考文献No.800304
标题:A synthesis of pyrazomycins
作者:Weigele, M.; De Bernado, S.
来源:J Org Chem 1976,41287-290
合成路线图解说明:

The synthesis of RFCNU from 2,3-O-isopropylidene-5-O-p-nitrobenzoyl-beta-D-ribosyl bromide (III) has been described, as well as the preparation of 2,3-O-isopropylidene-5-O-p-nitrobenzoyl-beta-D-ribosyl bromide from 2,3-O-isopropylidene-D-ribosyl-furanose (I). Briefly, the synthesis is as follows: A cold solution of 2,3-O-isopropylidene-D-ribofuranose (I) in dry pyridine is stirred and treated with p-nitrobenzoyl chloride (A). Workup gives 2,3-O-isopropylene-1,5-di-O-p-nitrobenzoyl-D-ribofuranose (II), which is crystallized from methylene chloride/ether. (II) is added in portions to a dry solution of methylene chloride saturated with HBr at 0 C and stirred for 0.5 h. It is warmed to room temperature, the precipitated p-nitrobenzoic acid removed by filtration (under argon) and the filtrate concentrated. Addition of petroleum ether/diethyl ether and partial concentration by vacuum gives crystals of 2,3-isopropylidene-5-O-p-nitrobenzoyl-beta-ribosyl bromide (III). (III), dissolved in toluene, is reacted with silver isocyanate and refluxed under nitrogen. Silver bromide is filtered off and the filtrate concentrated by evaporation, yielding an oil. Dissolution of the oil in acetonitrile and cooling to -40 C yields crystals of isocyanato-1-O-isopropylidene-2,3-O-p-nitrobenzoyl-5-D-ribofuranose (IV). (IV) is reacted with an aqueous solution of 2-chloroethylamine (B) and the solution extracted with benzene. The organic base is separated, dried and refrigerated. Warming gives a yellow oil, which is treated with ethanol to give crystalline (chloro-2-ethyl)-1-(ribofuranosylisopropylidene-2',3'-p-nitrobenzoate-5')-3-urea (V). (V) is dissolved in methylene chloride, cooled to -40 C and an excess of liquid nitrosyl chloride (NOCl) is added with stirring. Addition of a mixture of chloroform and petroleum ether gives crystals of (chloro-2-ethyl)-1-(ribofuranosylisopropylidene-2',3'-p-nitrobenzoate-5')-3-nitrosourea (RFCNU). The synthesis may be modified to yield either the alpha or beta anomer. Both anomeric forms have shown the same antitumor activity.

Drug Information Express,Drug R&D,Chemical Database,Patent Search.
Copyright © 2006-2026 Drug Future. All rights reserved.Contact Us