【药物名称】Batebulast hydrochloride, NCO-650
化学结构式(Chemical Structure):
参考文献No.69982
标题:NCO-650
作者:Serradell, M.N.; Casta馿r, J.
来源:Drugs Fut 1984,9(8),589
合成路线图解说明:

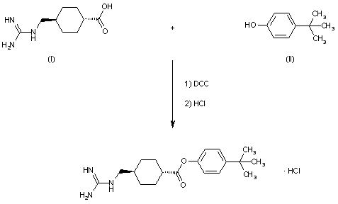
By esterification of trans-4-guanidinomethylcyclohexanecarboxylic acid (I) with 4-tert-butylphenol (II) using dicyclohexylcarbodiimide as condensing agent.

参考文献No.701183
标题:Guanidinocyclohexanecarboxylic acid derivatives
作者:Muramatsu, M.; et al.
来源:BE 0891790; CH 652119; DE 3201817; FR 2498183; US 4465851
合成路线图解说明:

By esterification of trans-4-guanidinomethylcyclohexanecarboxylic acid (I) with 4-tert-butylphenol (II) using dicyclohexylcarbodiimide as condensing agent.

Drug Information Express,Drug R&D,Chemical Database,Patent Search.
Copyright © 2006-2026 Drug Future. All rights reserved.Contact Us