【药物名称】Murocainide, MD-750819(HCl)
化学结构式(Chemical Structure):
参考文献No.47443
标题:Novel aminoalkoxybenzofurans, their process of preparation and their therapeutic use
作者:Bourgery, G.; Lacour, A.; Pourrias, B.; Bregeon, G.C. (Laboratoires Delalande)
来源:FR 2358143
合成路线图解说明:

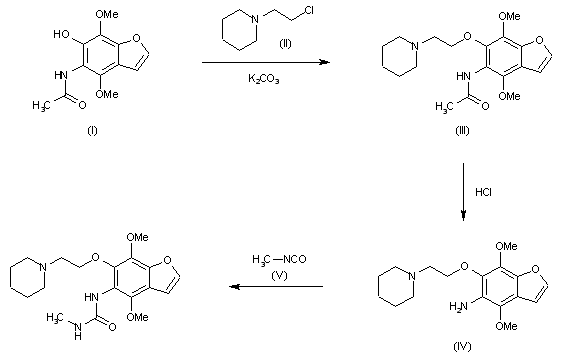
The condensation of 5-acetamido-4,7-dimethoxy-6-hydroxybenzofuran (I) with N-(2-chloroethyl)piperidine (II) by means of K2CO3 in refluxing acetone gives 5-acetamido-4,7-dimethoxy-6-[2-(N-piperidino)ethoxy]benzofuran (III), which is hydrolyzed with refluxing 2N HCl yielding 5-amino-4,7-dimethoxy-6-[2-(N-piperidino)ethoxy]benzofuran (IV). Finally, this compound is treated with methyl isocyanate (V) in hot toluene.

参考文献No.70115
标题:Murocainide
作者:Serradell, M.N.; Casta馿r, J.; Blancafort, P.; Thorpe, P.J.
来源:Drugs Fut 1983,8(8),687
合成路线图解说明:

The condensation of 5-acetamido-4,7-dimethoxy-6-hydroxybenzofuran (I) with N-(2-chloroethyl)piperidine (II) by means of K2CO3 in refluxing acetone gives 5-acetamido-4,7-dimethoxy-6-[2-(N-piperidino)ethoxy]benzofuran (III), which is hydrolyzed with refluxing 2N HCl yielding 5-amino-4,7-dimethoxy-6-[2-(N-piperidino)ethoxy]benzofuran (IV). Finally, this compound is treated with methyl isocyanate (V) in hot toluene.

Drug Information Express,Drug R&D,Chemical Database,Patent Search.
Copyright © 2006-2026 Drug Future. All rights reserved.Contact Us