【药物名称】Cefixime, FK-027, CL-284635, FR-17027, Suprax, Oroken, Denvar, Necopen, Tricef, Cephoral, Suprax, Cefspan
化学结构式(Chemical Structure):
参考文献No.46501
标题:Starting compounds for 7-acylamino-3-vinylcephalosporanic acid derivatives and processes for their preparation
作者:Takaya, T.; Tagasuki, H.; Masugi, T.; Yamanaka, H.; Kawabata, K. (Fujisawa Pharmaceutical Co., Ltd.)
来源:EP 0030630; EP 0123024; EP 0244637; JP 6279452; US 4409214; US 4423213
合成路线图解说明:

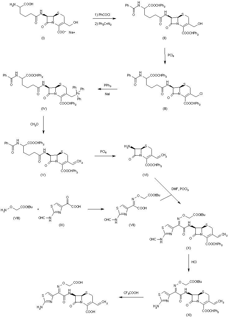
The reaction of 7-(5-amino-5-carboxypentanamido)-3-hydroxymethyl-3-cephem-4-carboxylic acid (I), first with benzoyl chloride in acetone-water, and then with diphenyldiazomethane, gives benzhydryl 7-[5-benzamido-5-(benzhydryloxycarbonyl)pentanamido]-3-hydroxymethyl-3-cephem-4-carboxylate (II), which by reaction with PCl5 is converted into the corresponding chloromethyl derivative (III). The reaction of (III) with triphenyl phosphine and NaI in DMF yields the phosphonium iodide (IV), which by a Wittig condensation with formaldehyde in methylene chloride affords benzhydryl-7-[5-benzamido-5-(benzhydryloxycarbonyl)pentanamido]-3-vinyl-3-cephem-4-carboxylate (V). The cleavage of (V) with PCl-pyridine in methylene chloride gives benzhydryl 7-amino-3-vinyl-3-cephem-4-carboxylate (VI), which is condensed with 2-(tert-butoxycarbonylmethoxyimino)-2-(2-formamidothiazol-4-yl)acetic acid (VII) [prepared from 2-formamidothiazol-4-yl)oxoacetic acid (VIII) and tert-butyl aminooxyacetate (IX)] yielding benzhydryl 7-[2-tert-butoxycarbonylmethoxyimino)-2-(2-formamidothiazol-4-yl)acetamido-3-vinyl-3-cephem-4-carboxylate (X). The hydrolysis of (X) with HCl in methanol affords the 2-amino derivative (XI), which is finally fully deprotected by treatment with trifluoroacetic acid in anisole.

合成路线图解说明:

The reaction of 7-(5-amino-5-carboxypentanamido)-3-hydroxymethyl-3-cephem-4-carboxylic acid (I), first with benzoyl chloride in acetone-water, and then with diphenyldiazomethane, gives benzhydryl 7-[5-benzamido-5-(benzhydryloxycarbonyl)pentanamido]-3-hydroxymethyl-3-cephem-4-carboxylate (II), which by reaction with PCl5 under stronger conditions than before gives benzhydryl-7-amino-3-chloromethyl-3-cephem-4-carboxylate (XII), which is condensed with (VII) by means of POCl3 in DMF as before, yielding the chloromethyl compound (XIII). The reaction of (XIII) with triphenyiphosphine and NaI affords the phosphonium salt (XIV), which is finally submitted to a Wittig condensation with formaldehyde giving (X). The hydrolysis of (X) with HCl in methanol affords the 2-amino derivative (XI), which is finally fully deprotected by treatment with trifluoroacetic acid in anisole.

参考文献No.49411
标题:FR-17,027
作者:Serradell, M.N.; Blancafort, P.; Casta馿r, J.
来源:Drugs Fut 1983,8(8),682
合成路线图解说明:

The reaction of 7-(5-amino-5-carboxypentanamido)-3-hydroxymethyl-3-cephem-4-carboxylic acid (I), first with benzoyl chloride in acetone-water, and then with diphenyldiazomethane, gives benzhydryl 7-[5-benzamido-5-(benzhydryloxycarbonyl)pentanamido]-3-hydroxymethyl-3-cephem-4-carboxylate (II), which by reaction with PCl5 is converted into the corresponding chloromethyl derivative (III). The reaction of (III) with triphenyl phosphine and NaI in DMF yields the phosphonium iodide (IV), which by a Wittig condensation with formaldehyde in methylene chloride affords benzhydryl-7-[5-benzamido-5-(benzhydryloxycarbonyl)pentanamido]-3-vinyl-3-cephem-4-carboxylate (V). The cleavage of (V) with PCl-pyridine in methylene chloride gives benzhydryl 7-amino-3-vinyl-3-cephem-4-carboxylate (VI), which is condensed with 2-(tert-butoxycarbonylmethoxyimino)-2-(2-formamidothiazol-4-yl)acetic acid (VII) [prepared from 2-formamidothiazol-4-yl)oxoacetic acid (VIII) and tert-butyl aminooxyacetate (IX)] yielding benzhydryl 7-[2-tert-butoxycarbonylmethoxyimino)-2-(2-formamidothiazol-4-yl)acetamido-3-vinyl-3-cephem-4-carboxylate (X). The hydrolysis of (X) with HCl in methanol affords the 2-amino derivative (XI), which is finally fully deprotected by treatment with trifluoroacetic acid in anisole.

合成路线图解说明:

The reaction of 7-(5-amino-5-carboxypentanamido)-3-hydroxymethyl-3-cephem-4-carboxylic acid (I), first with benzoyl chloride in acetone-water, and then with diphenyldiazomethane, gives benzhydryl 7-[5-benzamido-5-(benzhydryloxycarbonyl)pentanamido]-3-hydroxymethyl-3-cephem-4-carboxylate (II), which by reaction with PCl5 under stronger conditions than before gives benzhydryl-7-amino-3-chloromethyl-3-cephem-4-carboxylate (XII), which is condensed with (VII) by means of POCl3 in DMF as before, yielding the chloromethyl compound (XIII). The reaction of (XIII) with triphenyiphosphine and NaI affords the phosphonium salt (XIV), which is finally submitted to a Wittig condensation with formaldehyde giving (X). The hydrolysis of (X) with HCl in methanol affords the 2-amino derivative (XI), which is finally fully deprotected by treatment with trifluoroacetic acid in anisole.

Drug Information Express,Drug R&D,Chemical Database,Patent Search.
Copyright © 2006-2026 Drug Future. All rights reserved.Contact Us