【药物名称】Gludapcin, FK-156
化学结构式(Chemical Structure):
参考文献No.47241
标题:New lactyl tetrapeptide, processes for preparation thereof and pharmaceutical compsns. containing it
作者:Kitaura, Y.; Nakaguchi, O.; Hemmi, K. (Fujisawa Pharmaceutical Co., Ltd.)
来源:EP 0011283
合成路线图解说明:

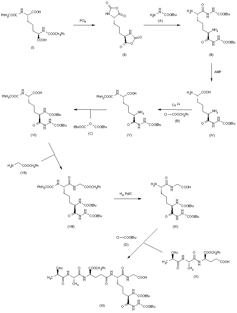
The cyclization of 2,2'-di(benzyloxycarbonylamino)pimelic acid (I) with PCl5 in methylene chloride gives the bis-N-carboxy anhydride (II), which by reaction with tert-butyl carbazate (A) is converted into the bis(tert-butyloxycarbonylhydrazide) compound (III). The enzymatic hydrolysis of (III) with an aminopeptidase from Streptomyces sapporonensis affords the mono-tert-butoxycarbonylhydrazide (IV), which by selective protection of the amino group with benzyloxycarbonyl chloride (B) under copper chelate conditions yields the selectively protected hydrazide (V). Full protection of (V) with tert-butoxycarbonyl anhydride (C) affords the fully protected monohydrazide (VI), which is condensed with benzyl glycinate (VII) to give the protected dipeptide (VIII). Hydrogenolysis of (VIII) with H2 over Pd/C in methanol-acetic acid yields the di-tert-butoxycarbonyldipeptide (IX), which is condensed with 2-acetoxypropanoylalanylglutamic acid monobenzyl ester (X) by means of isobutoxycarbonyl chloride (D) yielding the protected FK-156 (XI).

合成路线图解说明:

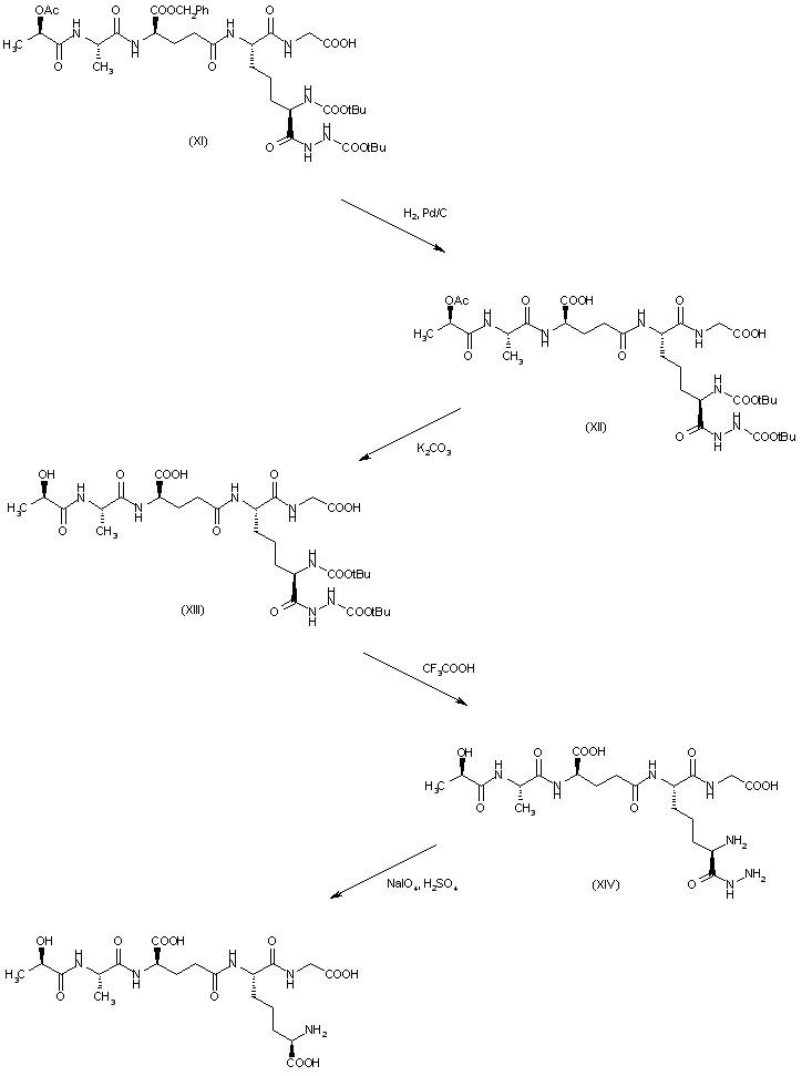
Hydrogenolysis of (XI) with H2 over Pd/C in methanol-acetic acid eliminates the benzyl group giving (XII), which is treated with K2CO3 to eliminate the acetyl group affording (XIII). Treatment of (XIII) with trifluoroacetic acid eliminates the tert-butoxy groups giving FK-156 hydrazide (XIV), which is finally oxidized and hydrolyzed with sodium periodate and H2SO4.

合成路线图解说明:

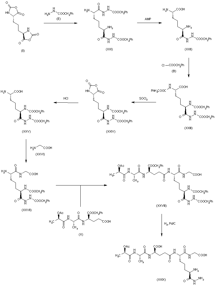
The reaction of the dianhydride (II) with benzyl carbazate (E) gives the bis(benzyloxycarbonylhydrazide) compound (XXI), which by an enzymatic treatment with an aminopeptidase from Streptomyces sapporonensis yields the monohydrazide (XXII). The protection of (XXII) with benzyloxycarbonyl chloride (B) affords the protected monohydrazide (XXIII), which is cyclized by treatment with SOCl2 giving the monocarboxy anhydride (XXIV). Hydrolysis of (XXIV) with HCl yields amino acid (XXV), which is condensed with glycine (XXVI) to afford the dipeptide (XXVII). The condensation of (XXVII) with (X) gives the protected FK-156 (XXVIII), which is debenzylated by hydrogenolysis with H2 over Pd/C in methanol-acetic acid affording FK-156 still protected with an acetoxy and a hydrazine group (XXIX).

合成路线图解说明:

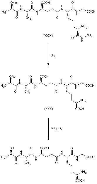
The reaction of (XXIX) with Br2 eliminates the hydrazino group giving acetyl-FK-156 (XXX), which is finally treated with Na2CO3 to eliminate the acetate group.

合成路线图解说明:

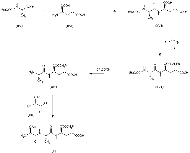
The lactyl dipeptide (X) is obtained as follows: The condensation of tert-butoxycarbonylalanine (XV) with glutamic acid (XVI) gives tert-butoxycarbonylalanylglutamic acid (XVII), which is esterified partially with benzyl bromide (F) yielding the mono ester (XVIII). Elimination of the tert-butoxycarbonyl group of (XVIII) with trifluoroacetic acid affords alanylglutamic acid monobenzyl ester (XIX), which is finally condensed with 2-acetoxypropionyl chloride (XX) to afford (X).

参考文献No.47242
标题:New peptides, processes for their preparation and pharmaceutical compsns. containing them
作者:Kitaura, Y.; Nakaguchi, O.; Hemmi, K.; Aratani, M.; Takeno, H.; Okada, S.; Tanaka, H.; Hashimoto, M. (Fujisawa Pharmaceutical Co., Ltd.)
来源:EP 0027260
合成路线图解说明:

The cyclization of 2,2'-di(benzyloxycarbonylamino)pimelic acid (I) with PCl5 in methylene chloride gives the bis-N-carboxy anhydride (II), which by reaction with tert-butyl carbazate (A) is converted into the bis(tert-butyloxycarbonylhydrazide) compound (III). The enzymatic hydrolysis of (III) with an aminopeptidase from Streptomyces sapporonensis affords the mono-tert-butoxycarbonylhydrazide (IV), which by selective protection of the amino group with benzyloxycarbonyl chloride (B) under copper chelate conditions yields the selectively protected hydrazide (V). Full protection of (V) with tert-butoxycarbonyl anhydride (C) affords the fully protected monohydrazide (VI), which is condensed with benzyl glycinate (VII) to give the protected dipeptide (VIII). Hydrogenolysis of (VIII) with H2 over Pd/C in methanol-acetic acid yields the di-tert-butoxycarbonyldipeptide (IX), which is condensed with 2-acetoxypropanoylalanylglutamic acid monobenzyl ester (X) by means of isobutoxycarbonyl chloride (D) yielding the protected FK-156 (XI).

合成路线图解说明:

Hydrogenolysis of (XI) with H2 over Pd/C in methanol-acetic acid eliminates the benzyl group giving (XII), which is treated with K2CO3 to eliminate the acetyl group affording (XIII). Treatment of (XIII) with trifluoroacetic acid eliminates the tert-butoxy groups giving FK-156 hydrazide (XIV), which is finally oxidized and hydrolyzed with sodium periodate and H2SO4.

合成路线图解说明:

The reaction of the dianhydride (II) with benzyl carbazate (E) gives the bis(benzyloxycarbonylhydrazide) compound (XXI), which by an enzymatic treatment with an aminopeptidase from Streptomyces sapporonensis yields the monohydrazide (XXII). The protection of (XXII) with benzyloxycarbonyl chloride (B) affords the protected monohydrazide (XXIII), which is cyclized by treatment with SOCl2 giving the monocarboxy anhydride (XXIV). Hydrolysis of (XXIV) with HCl yields amino acid (XXV), which is condensed with glycine (XXVI) to afford the dipeptide (XXVII). The condensation of (XXVII) with (X) gives the protected FK-156 (XXVIII), which is debenzylated by hydrogenolysis with H2 over Pd/C in methanol-acetic acid affording FK-156 still protected with an acetoxy and a hydrazine group (XXIX).

合成路线图解说明:

The reaction of (XXIX) with Br2 eliminates the hydrazino group giving acetyl-FK-156 (XXX), which is finally treated with Na2CO3 to eliminate the acetate group.

合成路线图解说明:

The lactyl dipeptide (X) is obtained as follows: The condensation of tert-butoxycarbonylalanine (XV) with glutamic acid (XVI) gives tert-butoxycarbonylalanylglutamic acid (XVII), which is esterified partially with benzyl bromide (F) yielding the mono ester (XVIII). Elimination of the tert-butoxycarbonyl group of (XVIII) with trifluoroacetic acid affords alanylglutamic acid monobenzyl ester (XIX), which is finally condensed with 2-acetoxypropionyl chloride (XX) to afford (X).

参考文献No.70127
标题:FK-156
作者:Arya, V.P.; Blancafort, P.; Casta馿r, J.; Serradell, M.N.
来源:Drugs Fut 1983,8(8),667
合成路线图解说明:

The cyclization of 2,2'-di(benzyloxycarbonylamino)pimelic acid (I) with PCl5 in methylene chloride gives the bis-N-carboxy anhydride (II), which by reaction with tert-butyl carbazate (A) is converted into the bis(tert-butyloxycarbonylhydrazide) compound (III). The enzymatic hydrolysis of (III) with an aminopeptidase from Streptomyces sapporonensis affords the mono-tert-butoxycarbonylhydrazide (IV), which by selective protection of the amino group with benzyloxycarbonyl chloride (B) under copper chelate conditions yields the selectively protected hydrazide (V). Full protection of (V) with tert-butoxycarbonyl anhydride (C) affords the fully protected monohydrazide (VI), which is condensed with benzyl glycinate (VII) to give the protected dipeptide (VIII). Hydrogenolysis of (VIII) with H2 over Pd/C in methanol-acetic acid yields the di-tert-butoxycarbonyldipeptide (IX), which is condensed with 2-acetoxypropanoylalanylglutamic acid monobenzyl ester (X) by means of isobutoxycarbonyl chloride (D) yielding the protected FK-156 (XI).

合成路线图解说明:

Hydrogenolysis of (XI) with H2 over Pd/C in methanol-acetic acid eliminates the benzyl group giving (XII), which is treated with K2CO3 to eliminate the acetyl group affording (XIII). Treatment of (XIII) with trifluoroacetic acid eliminates the tert-butoxy groups giving FK-156 hydrazide (XIV), which is finally oxidized and hydrolyzed with sodium periodate and H2SO4.

合成路线图解说明:

The reaction of the dianhydride (II) with benzyl carbazate (E) gives the bis(benzyloxycarbonylhydrazide) compound (XXI), which by an enzymatic treatment with an aminopeptidase from Streptomyces sapporonensis yields the monohydrazide (XXII). The protection of (XXII) with benzyloxycarbonyl chloride (B) affords the protected monohydrazide (XXIII), which is cyclized by treatment with SOCl2 giving the monocarboxy anhydride (XXIV). Hydrolysis of (XXIV) with HCl yields amino acid (XXV), which is condensed with glycine (XXVI) to afford the dipeptide (XXVII). The condensation of (XXVII) with (X) gives the protected FK-156 (XXVIII), which is debenzylated by hydrogenolysis with H2 over Pd/C in methanol-acetic acid affording FK-156 still protected with an acetoxy and a hydrazine group (XXIX).

合成路线图解说明:

The reaction of (XXIX) with Br2 eliminates the hydrazino group giving acetyl-FK-156 (XXX), which is finally treated with Na2CO3 to eliminate the acetate group.

合成路线图解说明:

The lactyl dipeptide (X) is obtained as follows: The condensation of tert-butoxycarbonylalanine (XV) with glutamic acid (XVI) gives tert-butoxycarbonylalanylglutamic acid (XVII), which is esterified partially with benzyl bromide (F) yielding the mono ester (XVIII). Elimination of the tert-butoxycarbonyl group of (XVIII) with trifluoroacetic acid affords alanylglutamic acid monobenzyl ester (XIX), which is finally condensed with 2-acetoxypropionyl chloride (XX) to afford (X).

参考文献No.183213
标题:New convenient synthesis of immunostimulating peptides containing meso-diaminopimelic acid - Syntheses of FK-565 and
作者:Kolodziejczyk, A.M.; Kolodziejczyk, A.S.; Stoev, S.
来源:Int J Pept Protein Res 1992,39(4),382
合成路线图解说明:

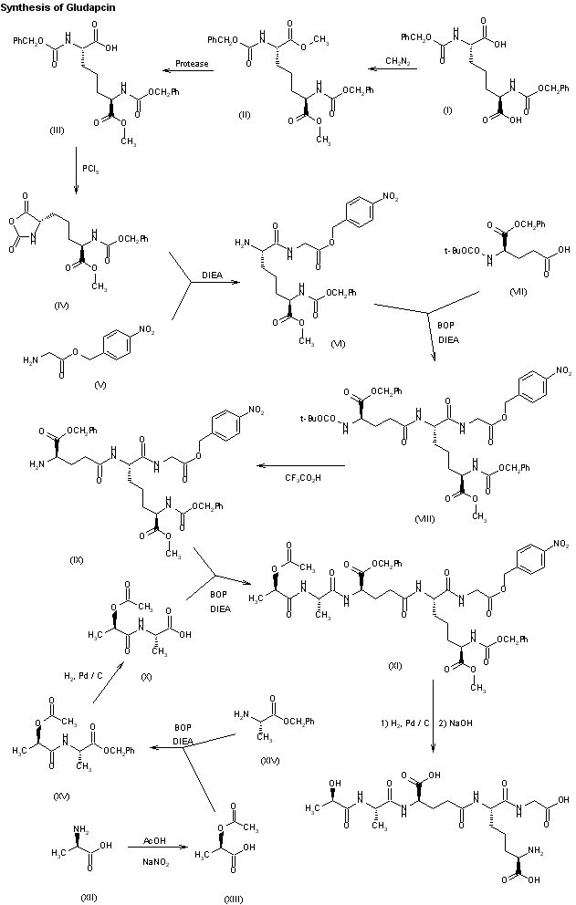
A new synthesis of FK-156 has been described: The esterification of meso-2,6-bis(benzyloxycarbonylamino)pimelic acid (I) with diazomethane gives the corresponding dimethyl ester (II), which is submitted to selective hydrolysis with a protease from Bacillus licheniformis, yielding the D-monoester (III). The reaction of (III) with PCl5 in dichloromethane affords the carboxyanhydride (IV), which is condensed with glycine 4-nitrobenzyl ester (V) by means of DIEA in dichloromethane to give the dipeptide (VI). The condensation of (VI) with tert-butoxycarbonyl-D-glutamic acid 1-benzyl ester (VII) by means of BOP and DIEA in dichloromethane-DMF affords the protected tripeptide (VIII), which is selectively deprotected with trifluoroacetic acid to the tripeptide (IX) with a free NH2 group. The condensation of (IX) with O-acetyl-D-lactyl-L-alanine (X) by means of BOP and DIEA as before yields the protected final peptide (XI), which is finally deprotected by hydrogenation with H2 over Pd/C in ethanol-formic acid and saponified with 1N NaOH. O-Acetyl-D-lactyl-L-alanine (X) is prepared as follows: The reaction of D-alanine (XII) with NaNO2 and acetic acid gives O-acetyl-D-lactic acid (XIII), which is condensed with L-alanine benzyl ester (XIV) with BOP and DIEA as before, yielding O-acetyl-D-lactyl-L-alanine benzyl ester (XV), which is finally debenzylated by hydrogenation with H2 over Pd/C in ethanol-formic acid to (X).

参考文献No.243106
标题:Total synthesis of FK-156 isolated from a Streptomyces as an immunostimulating peptide: Application of a novel copper chelate amino protection
作者:Hemmi, K.; Takeno, H.; Okada, S.; Nakaguchi, O.; Kitaura, Y.; Hashimoto, M.
来源:J Am Chem Soc 1981,1037026
合成路线图解说明:

The cyclization of 2,2'-di(benzyloxycarbonylamino)pimelic acid (I) with PCl5 in methylene chloride gives the bis-N-carboxy anhydride (II), which by reaction with tert-butyl carbazate (A) is converted into the bis(tert-butyloxycarbonylhydrazide) compound (III). The enzymatic hydrolysis of (III) with an aminopeptidase from Streptomyces sapporonensis affords the mono-tert-butoxycarbonylhydrazide (IV), which by selective protection of the amino group with benzyloxycarbonyl chloride (B) under copper chelate conditions yields the selectively protected hydrazide (V). Full protection of (V) with tert-butoxycarbonyl anhydride (C) affords the fully protected monohydrazide (VI), which is condensed with benzyl glycinate (VII) to give the protected dipeptide (VIII). Hydrogenolysis of (VIII) with H2 over Pd/C in methanol-acetic acid yields the di-tert-butoxycarbonyldipeptide (IX), which is condensed with 2-acetoxypropanoylalanylglutamic acid monobenzyl ester (X) by means of isobutoxycarbonyl chloride (D) yielding the protected FK-156 (XI).

合成路线图解说明:

Hydrogenolysis of (XI) with H2 over Pd/C in methanol-acetic acid eliminates the benzyl group giving (XII), which is treated with K2CO3 to eliminate the acetyl group affording (XIII). Treatment of (XIII) with trifluoroacetic acid eliminates the tert-butoxy groups giving FK-156 hydrazide (XIV), which is finally oxidized and hydrolyzed with sodium periodate and H2SO4.

合成路线图解说明:

The reaction of the dianhydride (II) with benzyl carbazate (E) gives the bis(benzyloxycarbonylhydrazide) compound (XXI), which by an enzymatic treatment with an aminopeptidase from Streptomyces sapporonensis yields the monohydrazide (XXII). The protection of (XXII) with benzyloxycarbonyl chloride (B) affords the protected monohydrazide (XXIII), which is cyclized by treatment with SOCl2 giving the monocarboxy anhydride (XXIV). Hydrolysis of (XXIV) with HCl yields amino acid (XXV), which is condensed with glycine (XXVI) to afford the dipeptide (XXVII). The condensation of (XXVII) with (X) gives the protected FK-156 (XXVIII), which is debenzylated by hydrogenolysis with H2 over Pd/C in methanol-acetic acid affording FK-156 still protected with an acetoxy and a hydrazine group (XXIX).

合成路线图解说明:

The reaction of (XXIX) with Br2 eliminates the hydrazino group giving acetyl-FK-156 (XXX), which is finally treated with Na2CO3 to eliminate the acetate group.

合成路线图解说明:

The lactyl dipeptide (X) is obtained as follows: The condensation of tert-butoxycarbonylalanine (XV) with glutamic acid (XVI) gives tert-butoxycarbonylalanylglutamic acid (XVII), which is esterified partially with benzyl bromide (F) yielding the mono ester (XVIII). Elimination of the tert-butoxycarbonyl group of (XVIII) with trifluoroacetic acid affords alanylglutamic acid monobenzyl ester (XIX), which is finally condensed with 2-acetoxypropionyl chloride (XX) to afford (X).

参考文献No.605731
标题:Studies of a new immunoactive peptide, FK-156. IV. Synthesis od FK-156 and its geometric isomer
作者:Hemmi, K.; Aratani, M.; Takeno, H.; Okada, S.; Miyazaki, Y.; Nakaguchi, O.; Kitaura, Y.; Hashimoto, M.
来源:J Antibiot 1982,35(10),1300-11
合成路线图解说明:

The cyclization of 2,2'-di(benzyloxycarbonylamino)pimelic acid (I) with PCl5 in methylene chloride gives the bis-N-carboxy anhydride (II), which by reaction with tert-butyl carbazate (A) is converted into the bis(tert-butyloxycarbonylhydrazide) compound (III). The enzymatic hydrolysis of (III) with an aminopeptidase from Streptomyces sapporonensis affords the mono-tert-butoxycarbonylhydrazide (IV), which by selective protection of the amino group with benzyloxycarbonyl chloride (B) under copper chelate conditions yields the selectively protected hydrazide (V). Full protection of (V) with tert-butoxycarbonyl anhydride (C) affords the fully protected monohydrazide (VI), which is condensed with benzyl glycinate (VII) to give the protected dipeptide (VIII). Hydrogenolysis of (VIII) with H2 over Pd/C in methanol-acetic acid yields the di-tert-butoxycarbonyldipeptide (IX), which is condensed with 2-acetoxypropanoylalanylglutamic acid monobenzyl ester (X) by means of isobutoxycarbonyl chloride (D) yielding the protected FK-156 (XI).

合成路线图解说明:

Hydrogenolysis of (XI) with H2 over Pd/C in methanol-acetic acid eliminates the benzyl group giving (XII), which is treated with K2CO3 to eliminate the acetyl group affording (XIII). Treatment of (XIII) with trifluoroacetic acid eliminates the tert-butoxy groups giving FK-156 hydrazide (XIV), which is finally oxidized and hydrolyzed with sodium periodate and H2SO4.

合成路线图解说明:

The reaction of the dianhydride (II) with benzyl carbazate (E) gives the bis(benzyloxycarbonylhydrazide) compound (XXI), which by an enzymatic treatment with an aminopeptidase from Streptomyces sapporonensis yields the monohydrazide (XXII). The protection of (XXII) with benzyloxycarbonyl chloride (B) affords the protected monohydrazide (XXIII), which is cyclized by treatment with SOCl2 giving the monocarboxy anhydride (XXIV). Hydrolysis of (XXIV) with HCl yields amino acid (XXV), which is condensed with glycine (XXVI) to afford the dipeptide (XXVII). The condensation of (XXVII) with (X) gives the protected FK-156 (XXVIII), which is debenzylated by hydrogenolysis with H2 over Pd/C in methanol-acetic acid affording FK-156 still protected with an acetoxy and a hydrazine group (XXIX).

合成路线图解说明:

The reaction of (XXIX) with Br2 eliminates the hydrazino group giving acetyl-FK-156 (XXX), which is finally treated with Na2CO3 to eliminate the acetate group.

合成路线图解说明:

The lactyl dipeptide (X) is obtained as follows: The condensation of tert-butoxycarbonylalanine (XV) with glutamic acid (XVI) gives tert-butoxycarbonylalanylglutamic acid (XVII), which is esterified partially with benzyl bromide (F) yielding the mono ester (XVIII). Elimination of the tert-butoxycarbonyl group of (XVIII) with trifluoroacetic acid affords alanylglutamic acid monobenzyl ester (XIX), which is finally condensed with 2-acetoxypropionyl chloride (XX) to afford (X).

参考文献No.605732
标题:Studies on a new immunoactive peptide, FK-156. II. Fermentation, extraction and chemical and biological charaterization
作者:Gotoh, T.; Nakahara, K.; Nishiura, T.; Hashimoto, M.; Kino, T.; Kuroda, Y.; Okahara, M.; Kohsaka, M.; Aoki, H.; Imanaka, H.
来源:J Antibiot 1982,35(10),1286-92
合成路线图解说明:

The cyclization of 2,2'-di(benzyloxycarbonylamino)pimelic acid (I) with PCl5 in methylene chloride gives the bis-N-carboxy anhydride (II), which by reaction with tert-butyl carbazate (A) is converted into the bis(tert-butyloxycarbonylhydrazide) compound (III). The enzymatic hydrolysis of (III) with an aminopeptidase from Streptomyces sapporonensis affords the mono-tert-butoxycarbonylhydrazide (IV), which by selective protection of the amino group with benzyloxycarbonyl chloride (B) under copper chelate conditions yields the selectively protected hydrazide (V). Full protection of (V) with tert-butoxycarbonyl anhydride (C) affords the fully protected monohydrazide (VI), which is condensed with benzyl glycinate (VII) to give the protected dipeptide (VIII). Hydrogenolysis of (VIII) with H2 over Pd/C in methanol-acetic acid yields the di-tert-butoxycarbonyldipeptide (IX), which is condensed with 2-acetoxypropanoylalanylglutamic acid monobenzyl ester (X) by means of isobutoxycarbonyl chloride (D) yielding the protected FK-156 (XI).

合成路线图解说明:

Hydrogenolysis of (XI) with H2 over Pd/C in methanol-acetic acid eliminates the benzyl group giving (XII), which is treated with K2CO3 to eliminate the acetyl group affording (XIII). Treatment of (XIII) with trifluoroacetic acid eliminates the tert-butoxy groups giving FK-156 hydrazide (XIV), which is finally oxidized and hydrolyzed with sodium periodate and H2SO4.

合成路线图解说明:

The reaction of the dianhydride (II) with benzyl carbazate (E) gives the bis(benzyloxycarbonylhydrazide) compound (XXI), which by an enzymatic treatment with an aminopeptidase from Streptomyces sapporonensis yields the monohydrazide (XXII). The protection of (XXII) with benzyloxycarbonyl chloride (B) affords the protected monohydrazide (XXIII), which is cyclized by treatment with SOCl2 giving the monocarboxy anhydride (XXIV). Hydrolysis of (XXIV) with HCl yields amino acid (XXV), which is condensed with glycine (XXVI) to afford the dipeptide (XXVII). The condensation of (XXVII) with (X) gives the protected FK-156 (XXVIII), which is debenzylated by hydrogenolysis with H2 over Pd/C in methanol-acetic acid affording FK-156 still protected with an acetoxy and a hydrazine group (XXIX).

合成路线图解说明:

The reaction of (XXIX) with Br2 eliminates the hydrazino group giving acetyl-FK-156 (XXX), which is finally treated with Na2CO3 to eliminate the acetate group.

合成路线图解说明:

The lactyl dipeptide (X) is obtained as follows: The condensation of tert-butoxycarbonylalanine (XV) with glutamic acid (XVI) gives tert-butoxycarbonylalanylglutamic acid (XVII), which is esterified partially with benzyl bromide (F) yielding the mono ester (XVIII). Elimination of the tert-butoxycarbonyl group of (XVIII) with trifluoroacetic acid affords alanylglutamic acid monobenzyl ester (XIX), which is finally condensed with 2-acetoxypropionyl chloride (XX) to afford (X).

参考文献No.605733
标题:Studies on a new immunoactive peptide, FK-156. I. Taxonomy of the producing strains
作者:Gotoh, T.; Nakahara, K.; Iwami, M.; Aoki, H.; Imanaka, H.
来源:J Antibiot 1982,35(10),1280-85
合成路线图解说明:

The cyclization of 2,2'-di(benzyloxycarbonylamino)pimelic acid (I) with PCl5 in methylene chloride gives the bis-N-carboxy anhydride (II), which by reaction with tert-butyl carbazate (A) is converted into the bis(tert-butyloxycarbonylhydrazide) compound (III). The enzymatic hydrolysis of (III) with an aminopeptidase from Streptomyces sapporonensis affords the mono-tert-butoxycarbonylhydrazide (IV), which by selective protection of the amino group with benzyloxycarbonyl chloride (B) under copper chelate conditions yields the selectively protected hydrazide (V). Full protection of (V) with tert-butoxycarbonyl anhydride (C) affords the fully protected monohydrazide (VI), which is condensed with benzyl glycinate (VII) to give the protected dipeptide (VIII). Hydrogenolysis of (VIII) with H2 over Pd/C in methanol-acetic acid yields the di-tert-butoxycarbonyldipeptide (IX), which is condensed with 2-acetoxypropanoylalanylglutamic acid monobenzyl ester (X) by means of isobutoxycarbonyl chloride (D) yielding the protected FK-156 (XI).

合成路线图解说明:

Hydrogenolysis of (XI) with H2 over Pd/C in methanol-acetic acid eliminates the benzyl group giving (XII), which is treated with K2CO3 to eliminate the acetyl group affording (XIII). Treatment of (XIII) with trifluoroacetic acid eliminates the tert-butoxy groups giving FK-156 hydrazide (XIV), which is finally oxidized and hydrolyzed with sodium periodate and H2SO4.

合成路线图解说明:

The reaction of the dianhydride (II) with benzyl carbazate (E) gives the bis(benzyloxycarbonylhydrazide) compound (XXI), which by an enzymatic treatment with an aminopeptidase from Streptomyces sapporonensis yields the monohydrazide (XXII). The protection of (XXII) with benzyloxycarbonyl chloride (B) affords the protected monohydrazide (XXIII), which is cyclized by treatment with SOCl2 giving the monocarboxy anhydride (XXIV). Hydrolysis of (XXIV) with HCl yields amino acid (XXV), which is condensed with glycine (XXVI) to afford the dipeptide (XXVII). The condensation of (XXVII) with (X) gives the protected FK-156 (XXVIII), which is debenzylated by hydrogenolysis with H2 over Pd/C in methanol-acetic acid affording FK-156 still protected with an acetoxy and a hydrazine group (XXIX).

合成路线图解说明:

The reaction of (XXIX) with Br2 eliminates the hydrazino group giving acetyl-FK-156 (XXX), which is finally treated with Na2CO3 to eliminate the acetate group.

合成路线图解说明:

The lactyl dipeptide (X) is obtained as follows: The condensation of tert-butoxycarbonylalanine (XV) with glutamic acid (XVI) gives tert-butoxycarbonylalanylglutamic acid (XVII), which is esterified partially with benzyl bromide (F) yielding the mono ester (XVIII). Elimination of the tert-butoxycarbonyl group of (XVIII) with trifluoroacetic acid affords alanylglutamic acid monobenzyl ester (XIX), which is finally condensed with 2-acetoxypropionyl chloride (XX) to afford (X).

参考文献No.605734
标题:Studies on a new immunoactive peptide, FK-156. III. Structure elucidation
作者:Kawai, Y.; Nakahara, K.; Gotoh, T.; Uchida, I.; Tanaka, H.; Imanaka, H.
来源:J Antibiot 1982,35(10),1293-99
合成路线图解说明:

The cyclization of 2,2'-di(benzyloxycarbonylamino)pimelic acid (I) with PCl5 in methylene chloride gives the bis-N-carboxy anhydride (II), which by reaction with tert-butyl carbazate (A) is converted into the bis(tert-butyloxycarbonylhydrazide) compound (III). The enzymatic hydrolysis of (III) with an aminopeptidase from Streptomyces sapporonensis affords the mono-tert-butoxycarbonylhydrazide (IV), which by selective protection of the amino group with benzyloxycarbonyl chloride (B) under copper chelate conditions yields the selectively protected hydrazide (V). Full protection of (V) with tert-butoxycarbonyl anhydride (C) affords the fully protected monohydrazide (VI), which is condensed with benzyl glycinate (VII) to give the protected dipeptide (VIII). Hydrogenolysis of (VIII) with H2 over Pd/C in methanol-acetic acid yields the di-tert-butoxycarbonyldipeptide (IX), which is condensed with 2-acetoxypropanoylalanylglutamic acid monobenzyl ester (X) by means of isobutoxycarbonyl chloride (D) yielding the protected FK-156 (XI).

合成路线图解说明:

Hydrogenolysis of (XI) with H2 over Pd/C in methanol-acetic acid eliminates the benzyl group giving (XII), which is treated with K2CO3 to eliminate the acetyl group affording (XIII). Treatment of (XIII) with trifluoroacetic acid eliminates the tert-butoxy groups giving FK-156 hydrazide (XIV), which is finally oxidized and hydrolyzed with sodium periodate and H2SO4.

合成路线图解说明:

The reaction of the dianhydride (II) with benzyl carbazate (E) gives the bis(benzyloxycarbonylhydrazide) compound (XXI), which by an enzymatic treatment with an aminopeptidase from Streptomyces sapporonensis yields the monohydrazide (XXII). The protection of (XXII) with benzyloxycarbonyl chloride (B) affords the protected monohydrazide (XXIII), which is cyclized by treatment with SOCl2 giving the monocarboxy anhydride (XXIV). Hydrolysis of (XXIV) with HCl yields amino acid (XXV), which is condensed with glycine (XXVI) to afford the dipeptide (XXVII). The condensation of (XXVII) with (X) gives the protected FK-156 (XXVIII), which is debenzylated by hydrogenolysis with H2 over Pd/C in methanol-acetic acid affording FK-156 still protected with an acetoxy and a hydrazine group (XXIX).

合成路线图解说明:

The reaction of (XXIX) with Br2 eliminates the hydrazino group giving acetyl-FK-156 (XXX), which is finally treated with Na2CO3 to eliminate the acetate group.

合成路线图解说明:

The lactyl dipeptide (X) is obtained as follows: The condensation of tert-butoxycarbonylalanine (XV) with glutamic acid (XVI) gives tert-butoxycarbonylalanylglutamic acid (XVII), which is esterified partially with benzyl bromide (F) yielding the mono ester (XVIII). Elimination of the tert-butoxycarbonyl group of (XVIII) with trifluoroacetic acid affords alanylglutamic acid monobenzyl ester (XIX), which is finally condensed with 2-acetoxypropionyl chloride (XX) to afford (X).

参考文献No.800381
标题:An efficient method for selective amino acid protection of meso-2,2'-diaminocarboxylic acid: An improved synthesis of FK-156
作者:Hemmi, K.; Nakaguchi, O.; Hashimoto, M.; Taleno, H.; Kitaura, Y.; Okada, S.
来源:Tetrahedron Lett 1982,23(6),693-696
合成路线图解说明:

The cyclization of 2,2'-di(benzyloxycarbonylamino)pimelic acid (I) with PCl5 in methylene chloride gives the bis-N-carboxy anhydride (II), which by reaction with tert-butyl carbazate (A) is converted into the bis(tert-butyloxycarbonylhydrazide) compound (III). The enzymatic hydrolysis of (III) with an aminopeptidase from Streptomyces sapporonensis affords the mono-tert-butoxycarbonylhydrazide (IV), which by selective protection of the amino group with benzyloxycarbonyl chloride (B) under copper chelate conditions yields the selectively protected hydrazide (V). Full protection of (V) with tert-butoxycarbonyl anhydride (C) affords the fully protected monohydrazide (VI), which is condensed with benzyl glycinate (VII) to give the protected dipeptide (VIII). Hydrogenolysis of (VIII) with H2 over Pd/C in methanol-acetic acid yields the di-tert-butoxycarbonyldipeptide (IX), which is condensed with 2-acetoxypropanoylalanylglutamic acid monobenzyl ester (X) by means of isobutoxycarbonyl chloride (D) yielding the protected FK-156 (XI).

合成路线图解说明:

Hydrogenolysis of (XI) with H2 over Pd/C in methanol-acetic acid eliminates the benzyl group giving (XII), which is treated with K2CO3 to eliminate the acetyl group affording (XIII). Treatment of (XIII) with trifluoroacetic acid eliminates the tert-butoxy groups giving FK-156 hydrazide (XIV), which is finally oxidized and hydrolyzed with sodium periodate and H2SO4.

合成路线图解说明:

The reaction of the dianhydride (II) with benzyl carbazate (E) gives the bis(benzyloxycarbonylhydrazide) compound (XXI), which by an enzymatic treatment with an aminopeptidase from Streptomyces sapporonensis yields the monohydrazide (XXII). The protection of (XXII) with benzyloxycarbonyl chloride (B) affords the protected monohydrazide (XXIII), which is cyclized by treatment with SOCl2 giving the monocarboxy anhydride (XXIV). Hydrolysis of (XXIV) with HCl yields amino acid (XXV), which is condensed with glycine (XXVI) to afford the dipeptide (XXVII). The condensation of (XXVII) with (X) gives the protected FK-156 (XXVIII), which is debenzylated by hydrogenolysis with H2 over Pd/C in methanol-acetic acid affording FK-156 still protected with an acetoxy and a hydrazine group (XXIX).

合成路线图解说明:

The reaction of (XXIX) with Br2 eliminates the hydrazino group giving acetyl-FK-156 (XXX), which is finally treated with Na2CO3 to eliminate the acetate group.

合成路线图解说明:

The lactyl dipeptide (X) is obtained as follows: The condensation of tert-butoxycarbonylalanine (XV) with glutamic acid (XVI) gives tert-butoxycarbonylalanylglutamic acid (XVII), which is esterified partially with benzyl bromide (F) yielding the mono ester (XVIII). Elimination of the tert-butoxycarbonyl group of (XVIII) with trifluoroacetic acid affords alanylglutamic acid monobenzyl ester (XIX), which is finally condensed with 2-acetoxypropionyl chloride (XX) to afford (X).

Drug Information Express,Drug R&D,Chemical Database,Patent Search.
Copyright © 2006-2026 Drug Future. All rights reserved.Contact Us