【药物名称】Midaglizole hydrochloride, DG-5128
化学结构式(Chemical Structure):
参考文献No.70135
标题:DG-5128
作者:Casta馿r, J.; Hillier, K.; Blancafort, P.; Serradell, M.N.
来源:Drugs Fut 1982,7(8),550
合成路线图解说明:

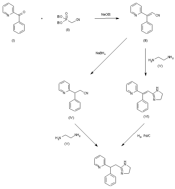
This compound can be obtained by two related ways: 1) The Wittig condensation of 2-benzoylpyridine (I) with diethyl cyanomethylphosphonate (II) by means of sodium ethoxide in hot ethanol gives 3-phenyl-3-(2-pyridyl)acrylonitrite (III), which is reduced with NaBH4 in refluxing ethanol to yield 3-phenyl-3-(2-pyridyl)propionitrite (IV). Finally, this compound is cyclized with ethylenediamine (V) at reflux temperature. 2) The cyctization of 3-phenyl-3-(2-pyridyl)acrylonitrite (III) with ethylenediamine (V) at reflux temperature gives 2-[2-phenyl-2-(2-pyridyl)viny]-2-imidazoline (VI), which is then reduced with H2 over Pd/C in ethanol.

参考文献No.800422
标题:Cyclic guanidines. X. Synthesis of 2-(2,2-disubstituted ethenyl- and ethyl)-2-imidazolines as potent hypoglycemics
作者:Ishikawa, F.
来源:Chem Pharm Bull 1980,28(5),1394-1402
合成路线图解说明:

This compound can be obtained by two related ways: 1) The Wittig condensation of 2-benzoylpyridine (I) with diethyl cyanomethylphosphonate (II) by means of sodium ethoxide in hot ethanol gives 3-phenyl-3-(2-pyridyl)acrylonitrite (III), which is reduced with NaBH4 in refluxing ethanol to yield 3-phenyl-3-(2-pyridyl)propionitrite (IV). Finally, this compound is cyclized with ethylenediamine (V) at reflux temperature. 2) The cyctization of 3-phenyl-3-(2-pyridyl)acrylonitrite (III) with ethylenediamine (V) at reflux temperature gives 2-[2-phenyl-2-(2-pyridyl)viny]-2-imidazoline (VI), which is then reduced with H2 over Pd/C in ethanol.

Drug Information Express,Drug R&D,Chemical Database,Patent Search.
Copyright © 2006-2026 Drug Future. All rights reserved.Contact Us