【药物名称】BW-683C
化学结构式(Chemical Structure):
参考文献No.47480
标题:Flavans, process for their preparation and pharmaceutical compsns. containing them
作者:Batchelor, J.F.; Bauer, D.J.; Hodson, H.F.; Selway, J.W.T.; Young, D.A.B. (Glaxo Wellcome plc)
来源:EP 0004579
合成路线图解说明:

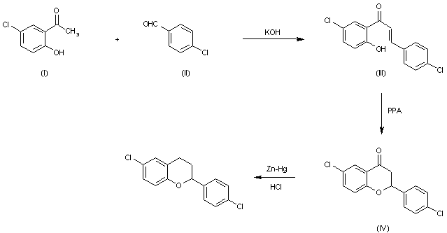
The condensation of 2-hydroxychloroacetophenone (I) with 4-chlorobenzaldehyde (II) by means of KOH in ethanol - water gives 4,5'-dichloro-2'-hydroxychalcone (III), which is cyclized by treatment with polyphosphoric acid (PPA) in reftuxing 2-methoxyethanol yielding 4',6-dichloroflavan (IV). Finally, this compound is reduced with Zn-Hg in acetic acid-hydrochloric acid.

参考文献No.70111
标题:BW-683C
作者:Serradell, M.N.; Casta馿r, J.; Hopkins, S.J.; Blancafort, P.
来源:Drugs Fut 1982,7(8),542
合成路线图解说明:

The condensation of 2-hydroxychloroacetophenone (I) with 4-chlorobenzaldehyde (II) by means of KOH in ethanol - water gives 4,5'-dichloro-2'-hydroxychalcone (III), which is cyclized by treatment with polyphosphoric acid (PPA) in reftuxing 2-methoxyethanol yielding 4',6-dichloroflavan (IV). Finally, this compound is reduced with Zn-Hg in acetic acid-hydrochloric acid.

Drug Information Express,Drug R&D,Chemical Database,Patent Search.
Copyright © 2006-2026 Drug Future. All rights reserved.Contact Us