【药物名称】Tilomisole, NSC-310633, Wy-18251
化学结构式(Chemical Structure):
参考文献No.70141
标题:WY-18,251
作者:Casta馿r, J.
来源:Drugs Fut 1981,6(8),500
合成路线图解说明:

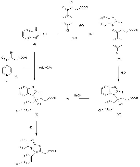
This compound can be obtained in two different ways, both starting from 2-mercaptobenzimidazole (I): 1) The cyclization of (I) with 3-bromo-3-(p-chlorobenzoyl)propionic acid (II) in acetic acid at 100 C gives 3-(p-chlorophenyl)-2,3-dihydro-3-hydroxythiazolo[3,2-a]benzimidazole-2-acetic acid (III), which is dehydrated by means of HCl in refluxing dioxane. 2) The condensation of (I) with ethyl 3-bromo-3-(p-chlorobenzoyl)propionate (IV) in refluxing ethanol gives 3-(benzimidazol-2-ylthio)-3-(p-chlorobenzoyl)propionic acid ethyl ester (V), which is cyclized by treatment with water yielding 3-(p-chlorophenyl)-2,3-dihydro-3-hydroxythiazolo[3,2-a]benzimidazole-2-acetic acid ethyl ester (VI). This compound is then hydrolyzed by treatment with NaOH in hot water to afford (III).

参考文献No.607172
标题:Syntheses of heterocyclic fused thiazole acetic acids
作者:Bell, S.C.; Wei, P.H.
来源:J Med Chem 1976,19(4),524-530
合成路线图解说明:

This compound can be obtained in two different ways, both starting from 2-mercaptobenzimidazole (I): 1) The cyclization of (I) with 3-bromo-3-(p-chlorobenzoyl)propionic acid (II) in acetic acid at 100 C gives 3-(p-chlorophenyl)-2,3-dihydro-3-hydroxythiazolo[3,2-a]benzimidazole-2-acetic acid (III), which is dehydrated by means of HCl in refluxing dioxane. 2) The condensation of (I) with ethyl 3-bromo-3-(p-chlorobenzoyl)propionate (IV) in refluxing ethanol gives 3-(benzimidazol-2-ylthio)-3-(p-chlorobenzoyl)propionic acid ethyl ester (V), which is cyclized by treatment with water yielding 3-(p-chlorophenyl)-2,3-dihydro-3-hydroxythiazolo[3,2-a]benzimidazole-2-acetic acid ethyl ester (VI). This compound is then hydrolyzed by treatment with NaOH in hot water to afford (III).

Drug Information Express,Drug R&D,Chemical Database,Patent Search.
Copyright © 2006-2026 Drug Future. All rights reserved.Contact Us