【药物名称】NSC-95466, PCNU
化学结构式(Chemical Structure):
参考文献No.69980
标题:PCNU
作者:Woodman, R.J.; Casta馿r, J.
来源:Drugs Fut 1981,6(8),481
合成路线图解说明:

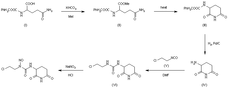
The esterification of N2-(benzyloxycarbonyl)-D,L-glutamine (I) with methyl iodide and KHCO3 in DMF gives the corresponding methyl ester (II), which is cyclized to benzyl D,L-2,6-dioxo-3-piperidinecarbamate (III) by heating. The hydrogenolysis of (III) with H2 over Pd/C in methanol yields D,L-2-aminoglutarimide (IV), which is condensed with 2-chloroethyl isocyanate (V) in DMF affording 1-(2-chloroethyl)-3-(2,6-dioxo-3-piperidyl)urea (VI). Finally, this compound is nitrosated in the usual way with NaNO2 in formic acid.

参考文献No.608339
标题:The synthesis of potential anticancer agents. XXXVI. N-Nitrosoureas. II. Haloalkyl derivatives
作者:Johnston, T.P.; McCaleb, G.S.; Opliger, P.S.; Montgomery, J.A.
来源:J Med Chem 1966,9(6),892-911
合成路线图解说明:

The esterification of N2-(benzyloxycarbonyl)-D,L-glutamine (I) with methyl iodide and KHCO3 in DMF gives the corresponding methyl ester (II), which is cyclized to benzyl D,L-2,6-dioxo-3-piperidinecarbamate (III) by heating. The hydrogenolysis of (III) with H2 over Pd/C in methanol yields D,L-2-aminoglutarimide (IV), which is condensed with 2-chloroethyl isocyanate (V) in DMF affording 1-(2-chloroethyl)-3-(2,6-dioxo-3-piperidyl)urea (VI). Finally, this compound is nitrosated in the usual way with NaNO2 in formic acid.

Drug Information Express,Drug R&D,Chemical Database,Patent Search.
Copyright © 2006-2026 Drug Future. All rights reserved.Contact Us