【药物名称】Acrihellin, D-12316
化学结构式(Chemical Structure):
参考文献No.70133
标题:Acrihellin
作者:Thiemer, K.; Isaac, O.; Schlichtegroll, A.v.; Engel, J.
来源:Drugs Fut 1981,6(8),459
合成路线图解说明:

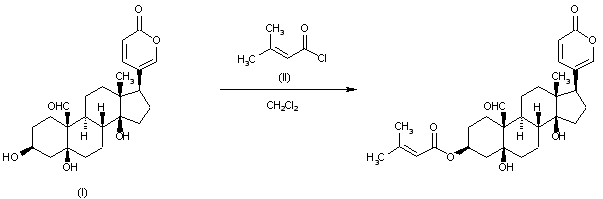
Acrihellin has been synthesized by acylation of Hellebrigenin (I) with 3,3-dimethylacrylic acid chloride (II) in refluxing methylene chloride.

参考文献No.701373
标题:
作者:Isaac, O.; et al.
来源:US 4218447
合成路线图解说明:

Acrihellin has been synthesized by acylation of Hellebrigenin (I) with 3,3-dimethylacrylic acid chloride (II) in refluxing methylene chloride.

参考文献No.701374
标题:
作者:Isaac, O.; et al.
来源:US 3597319
合成路线图解说明:

Acrihellin has been synthesized by acylation of Hellebrigenin (I) with 3,3-dimethylacrylic acid chloride (II) in refluxing methylene chloride.

Drug Information Express,Drug R&D,Chemical Database,Patent Search.
Copyright © 2006-2026 Drug Future. All rights reserved.Contact Us