【药物名称】Oxiracetam, CT-848, CGP-21690E, ISF-2522, Neuractiv, Oriest, Neuromet
化学结构式(Chemical Structure):
参考文献No.46995
标题:Pyrrolidine derivatives
作者:Pifferi, G.; Pinza, M. (ISF SpA)
来源:DE 2635853; FR 2320741; GB 1550160; NL 7608946; US 4118396
合成路线图解说明:

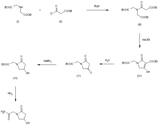
The reaction of ethyl iminodiacetate (I) with 2-ethoxycarbonylacetyl chloride (II) by means ot triethylamine in refluxing methylene chloride gives ethyl N-(2-ethoxycarbonylacetyl)iminodiacetate (III), which is cyclized by means of sodium ethoxide in refluxing ethanol yielding ethyl 4-hydroxy-3-(ethoxycarbonyl)-DELTA3-pyrrolin-2-one-1-acetate (IV). The isomerization of (IV) with water in refluxing acetonitrile affords ethyl pyrrolidine-2,4-dione-1-acetate (V), which is reduced with NaBH4 in dimethoxyethane to ethyl 4-hydroxypyrrolidine-2-one-1-acetate (VI). Finally, this compound is treated with ammonia in methanol.

参考文献No.46996
标题:Preparation of pyrrolidine and pyrrolidin-2-one derivatives
作者:Banfi, S.; et al. (ISF SpA)
来源:DE 2758937; DE 2758939; ES 466856; FR 2380257; GB 1588075; JP 53101367; US 4173569
合成路线图解说明:

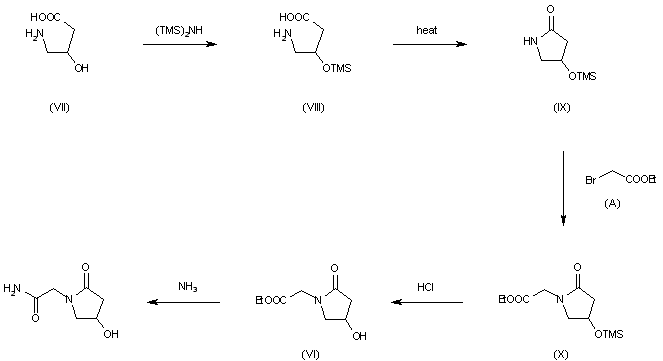
The silylation of 3-hydroxy-4-aminobutyric acid (VII) with bistrimethylsilyl amine gives 3-(trimethylsilyloxy)-4-aminobutyric acid (VIII), which is cyclized to 4-(trimethylsilyloxy)-2-pyrrolidinone (IX) by heating. The treatment of (IX) with ethyl bromoacetate (A) affords ethyl 4-(trimethylsilyloxy)pyrrolidine-2-one-1-acetate (X), which by desilylation with HCl gives ethyl 4-hydroxypyrrolidine-2-one-1-acetate (VI). Finally, this compound is treated with ammonia in methanol.

参考文献No.49399
标题:Oxiracetam
作者:de Angelis, L.; Blancafort, P.; Serradell, M.N.; Casta馿r, J.
来源:Drugs Fut 1980,5(8),405
合成路线图解说明:

The reaction of ethyl iminodiacetate (I) with 2-ethoxycarbonylacetyl chloride (II) by means ot triethylamine in refluxing methylene chloride gives ethyl N-(2-ethoxycarbonylacetyl)iminodiacetate (III), which is cyclized by means of sodium ethoxide in refluxing ethanol yielding ethyl 4-hydroxy-3-(ethoxycarbonyl)-DELTA3-pyrrolin-2-one-1-acetate (IV). The isomerization of (IV) with water in refluxing acetonitrile affords ethyl pyrrolidine-2,4-dione-1-acetate (V), which is reduced with NaBH4 in dimethoxyethane to ethyl 4-hydroxypyrrolidine-2-one-1-acetate (VI). Finally, this compound is treated with ammonia in methanol.

合成路线图解说明:

The silylation of 3-hydroxy-4-aminobutyric acid (VII) with bistrimethylsilyl amine gives 3-(trimethylsilyloxy)-4-aminobutyric acid (VIII), which is cyclized to 4-(trimethylsilyloxy)-2-pyrrolidinone (IX) by heating. The treatment of (IX) with ethyl bromoacetate (A) affords ethyl 4-(trimethylsilyloxy)pyrrolidine-2-one-1-acetate (X), which by desilylation with HCl gives ethyl 4-hydroxypyrrolidine-2-one-1-acetate (VI). Finally, this compound is treated with ammonia in methanol.

参考文献No.800238
标题:Cyclic GABA [4-aminobutyric acid]-GABOB[4-amino-3-hydroxybutyric acid] analogs. I. Synthesis of new 4-hydroxy-2-pyrrolidinone derivatives
作者:Pifferi, G.; Pinza, M.
来源:Farmaco 1977,32(8),602-613
合成路线图解说明:

The reaction of ethyl iminodiacetate (I) with 2-ethoxycarbonylacetyl chloride (II) by means ot triethylamine in refluxing methylene chloride gives ethyl N-(2-ethoxycarbonylacetyl)iminodiacetate (III), which is cyclized by means of sodium ethoxide in refluxing ethanol yielding ethyl 4-hydroxy-3-(ethoxycarbonyl)-DELTA3-pyrrolin-2-one-1-acetate (IV). The isomerization of (IV) with water in refluxing acetonitrile affords ethyl pyrrolidine-2,4-dione-1-acetate (V), which is reduced with NaBH4 in dimethoxyethane to ethyl 4-hydroxypyrrolidine-2-one-1-acetate (VI). Finally, this compound is treated with ammonia in methanol.

Drug Information Express,Drug R&D,Chemical Database,Patent Search.
Copyright © 2006-2026 Drug Future. All rights reserved.Contact Us