【药物名称】Ciclazindol, Wy-23409
化学结构式(Chemical Structure):
参考文献No.47816
标题:Process for the preparation of diazepino[1,2-a]indoles
作者:White, A.C.; Bell, S.C. (John Wyeth & Brother Ltd.)
来源:CH 590286; DE 2417917; FR 2247227; GB 1427066; US 3931226
合成路线图解说明:

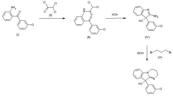
The reaction of 2-amino-3'-chlorobenzophenone (I) with dichloroacetyl chloride (II) in acetone gives o-(m'-chlorobenzoyl)-2,2-dichloroacetanilide (III), which is cyclized with potassium cyanide in water yielding 2-amino-3-(m-chlorophenyl-3H-indol-3-ol (IV). Finally, this compound is condensed with 1,3-dibromopropane (A) in refluxing ethanol.

参考文献No.47817
标题:Fused ring indole derivatives
作者:White, A.C.; Black, R.M. (John Wyeth & Brother Ltd.)
来源:DE 2200584; ES 398678; ES 409296; FR 2121699; GB 1366133
合成路线图解说明:

The reduction of 2'-oxospiro-(1,3-dioxolane-2,3'-indoline)-1'-propionitrile (V) with H2 over Raney-Ni in NH3 saturated ethanol gives 2'-oxospiro-(1,3-dioxolane-2,3'-indoline)-1'-propanamine (VI), which, without isolation, is cyclized in refluxing xylene yielding 3',4'-dihydrospiro[1,3-dioxolane-2,10'(2H,10H)pyrimido-[1,2-a]indole] (VII). The hydrolysis of (VII) with aqueous HCl at 85 C affords 3,4-dihydropyrimido[1,2-a]indole-10(2H)-one (VIII), which is finally treated with m-chlorophenylmagnesium bromide (IX) in refluxing ethyl ether.

参考文献No.70105
标题:Ciclazindol
作者:Weetman, D.F.; Casta馿r, J.
来源:Drugs Fut 1977,2(8),508
合成路线图解说明:

The reaction of 2-amino-3'-chlorobenzophenone (I) with dichloroacetyl chloride (II) in acetone gives o-(m'-chlorobenzoyl)-2,2-dichloroacetanilide (III), which is cyclized with potassium cyanide in water yielding 2-amino-3-(m-chlorophenyl-3H-indol-3-ol (IV). Finally, this compound is condensed with 1,3-dibromopropane (A) in refluxing ethanol.

合成路线图解说明:

The reduction of 2'-oxospiro-(1,3-dioxolane-2,3'-indoline)-1'-propionitrile (V) with H2 over Raney-Ni in NH3 saturated ethanol gives 2'-oxospiro-(1,3-dioxolane-2,3'-indoline)-1'-propanamine (VI), which, without isolation, is cyclized in refluxing xylene yielding 3',4'-dihydrospiro[1,3-dioxolane-2,10'(2H,10H)pyrimido-[1,2-a]indole] (VII). The hydrolysis of (VII) with aqueous HCl at 85 C affords 3,4-dihydropyrimido[1,2-a]indole-10(2H)-one (VIII), which is finally treated with m-chlorophenylmagnesium bromide (IX) in refluxing ethyl ether.

Drug Information Express,Drug R&D,Chemical Database,Patent Search.
Copyright © 2006-2026 Drug Future. All rights reserved.Contact Us