【药物名称】Bevantolol hydrochloride, Bevantol hydrochloride, NC-1400, CI-775, Calvan, Vantol, Ranestol
化学结构式(Chemical Structure):
参考文献No.49395
标题:Bevantol
作者:Casta馿r, J.; Weetman, D.F.
来源:Drugs Fut 1977,2(8),500
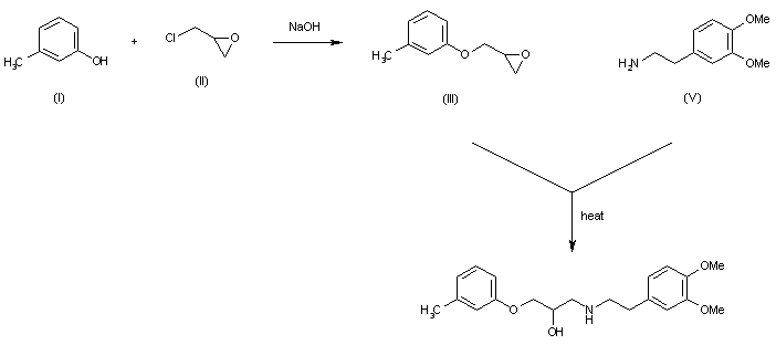
合成路线图解说明:

The condensation of 3-methylphenol (I) and epichlorohydrin (II) by means of NaOH gives 1,2-epoxy-3-(3-methylphenoxy)propane (III), which is then condensed with 3,4-dimethoxyphenylethylamine (V) by heating their mixture at 95-100 C.

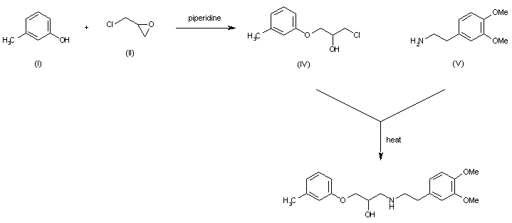
合成路线图解说明:

The condensation of 3-methylphenol (I) with epichlorohydrin (II) by means of a catalytic amount of piperidine gives 1-(3-methylphenoxy)-3-chloro-2-propanol (IV), which is then condensed with 3,4-dimethoxyphenylethylamine (V) by heating their mixture at 95-100 C.

参考文献No.607981
标题:Cardioselective beta-adrenergic blocking agents. 1. 1-[3,4-(dimethoxyphenethyl)amino]-3-aryloxy-2-propanols
作者:Hoefle, M.L.; Hastings, S.G.; Meyer, R.F.; Corey, R.M.; Holmes, A.; Stratton, C.D.
来源:J Med Chem 1975,18(2),148-152
合成路线图解说明:

The condensation of 3-methylphenol (I) and epichlorohydrin (II) by means of NaOH gives 1,2-epoxy-3-(3-methylphenoxy)propane (III), which is then condensed with 3,4-dimethoxyphenylethylamine (V) by heating their mixture at 95-100 C.

合成路线图解说明:

The condensation of 3-methylphenol (I) with epichlorohydrin (II) by means of a catalytic amount of piperidine gives 1-(3-methylphenoxy)-3-chloro-2-propanol (IV), which is then condensed with 3,4-dimethoxyphenylethylamine (V) by heating their mixture at 95-100 C.

参考文献No.701096
标题:New aminoalkanol compounds and methods for their production
作者:Holmes, A.; Meyer, R.F.
来源:FR 2163486; GB 1344976; JP 48067232
合成路线图解说明:

The condensation of 3-methylphenol (I) and epichlorohydrin (II) by means of NaOH gives 1,2-epoxy-3-(3-methylphenoxy)propane (III), which is then condensed with 3,4-dimethoxyphenylethylamine (V) by heating their mixture at 95-100 C.

合成路线图解说明:

The condensation of 3-methylphenol (I) with epichlorohydrin (II) by means of a catalytic amount of piperidine gives 1-(3-methylphenoxy)-3-chloro-2-propanol (IV), which is then condensed with 3,4-dimethoxyphenylethylamine (V) by heating their mixture at 95-100 C.

Drug Information Express,Drug R&D,Chemical Database,Patent Search.
Copyright © 2006-2026 Drug Future. All rights reserved.Contact Us