【药物名称】7-Oxoprostacyclin monosodium salt, 7-Oxosprostaglandin I2 monosodium, 7-Oxo-PGI2 sodium
化学结构式(Chemical Structure):
参考文献No.47240
标题:7-Oxo-PGI2-derivs. and process for the preparation thereof and pharmaceutical compsns. containing same
作者:Ivanics, J.; Kov醕s, G.; Papp, ?; Pall醙i, I.; D閞, J.; Simonidesz, V.; Stadler, I. (Chinoin Pharmaceutical and Chemical Works Co., Ltd.)
来源:US 4330553
合成路线图解说明:

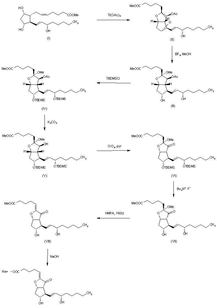
The reaction of prostaglandin F2alpha (I) with tallium tri-acetate in acetic acid gives the inner ketal (II), which by trans-ketalization with BF3 and methanol is converted into the diol methyl ketal (III). Silylation of (III) with dimethyl-tert-butylsilyl chloride and imidazole in DMF yields the disilylated compound (IV), which is deacetylated with K2CO3 in methanol affording the alcohol (V). Collins' oxidation of (V) with CrO3-pyridine in methylene chloride gives the ketone (VI), which is deprotected with tetrabutylammonium fluoride in THF yielding the dihydroxy ketone (VII). Heating of (VII) at 160 C in HMPA affords 7-oxo-PGI2 methyl ester (VIII), which is finally hydrolyzed with NaOH in methanol-water.

参考文献No.68101
标题:7-Oxo-PGI2 Sodium
作者:Casta馿r, J.; Serradell, M.N.; Hillier, K.; Blancafort, P.
来源:Drugs Fut 1983,8(7),598
合成路线图解说明:

The reaction of prostaglandin F2alpha (I) with tallium tri-acetate in acetic acid gives the inner ketal (II), which by trans-ketalization with BF3 and methanol is converted into the diol methyl ketal (III). Silylation of (III) with dimethyl-tert-butylsilyl chloride and imidazole in DMF yields the disilylated compound (IV), which is deacetylated with K2CO3 in methanol affording the alcohol (V). Collins' oxidation of (V) with CrO3-pyridine in methylene chloride gives the ketone (VI), which is deprotected with tetrabutylammonium fluoride in THF yielding the dihydroxy ketone (VII). Heating of (VII) at 160 C in HMPA affords 7-oxo-PGI2 methyl ester (VIII), which is finally hydrolyzed with NaOH in methanol-water.

参考文献No.204136
标题:A new stable prostacyclin mimic, 7-oxo-PGI2
作者:Kov郼s, G.; Simonidesz, V.; Tomoskozi, I.; Kormoczy, P.; Szekely, I.; Papp-Behr, A.; Stadler, I.; Szekeres, L.; Papp, G.
来源:J Med Chem 1982,25(2),105-107
合成路线图解说明:

The reaction of prostaglandin F2alpha (I) with tallium tri-acetate in acetic acid gives the inner ketal (II), which by trans-ketalization with BF3 and methanol is converted into the diol methyl ketal (III). Silylation of (III) with dimethyl-tert-butylsilyl chloride and imidazole in DMF yields the disilylated compound (IV), which is deacetylated with K2CO3 in methanol affording the alcohol (V). Collins' oxidation of (V) with CrO3-pyridine in methylene chloride gives the ketone (VI), which is deprotected with tetrabutylammonium fluoride in THF yielding the dihydroxy ketone (VII). Heating of (VII) at 160 C in HMPA affords 7-oxo-PGI2 methyl ester (VIII), which is finally hydrolyzed with NaOH in methanol-water.

Drug Information Express,Drug R&D,Chemical Database,Patent Search.
Copyright © 2006-2026 Drug Future. All rights reserved.Contact Us