【药物名称】Iofetamine hydrochloride I-123, Ro-23-1507/001, M-123, IMP, Spectamine A
化学结构式(Chemical Structure):
参考文献No.62291
标题:Iofetamine (123I) hydrochloride
作者:Baldwin, R.M.
来源:Drugs Fut 1986,11(8),652
合成路线图解说明:

1) Reductive amination of phenylacetone (I) with ammonium acetate and sodium cyanoborohydride (I) gives d,l-amphetamine (II), which is separated by distillation at reduced pressure from a secondary amine byproduct resulting from reaction of amphetamine with phenylacetone. Iodination of the N-acetyl-protected amine followed by acid hydrolysis yields a mixture of ortho-meta and para substituted iodoamphetamine, from which the para-isomer can be obtained by crystallization of the salt (IV) from hydrochloric acid. Reductive condensation of the primary amine salt with acetone and sodium cyanoborohydride then yields ofetamine (V). The free base is converted to the hydrochloride salt (VI) by treatment with dry HCl gas in ether. The acetate salt may be prepared by treatment of the free base with glacial acetic acid in ether, followed by addition of hexane or petroleum ether to precipitate the product.

合成路线图解说明:

2) A route that does not involve controlled drugs (phenylacetone or amphetamine) proceeds from p-iodophenylacetic acid (VII). The starting material can be made in low yield by iodination of phenylacetic acid or by a two-step process from p-aminophenylacetic acid by diazotization and treatment with potassium iodide. Condensation of p-iodophenylacetic acid (VII) with acetic anhydride gives p-iodophenylacetone (VIII) in variable yields, depending on the purity of the starting carboxylic acid and en the choice of base. Reductive amination with isopropylamine then gives iofetamine (V) in good yield.

合成路线图解说明:

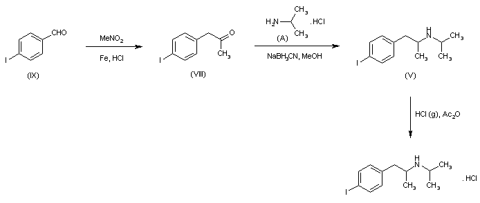
3) A third sequence proceeds by condensation of p-iodobenzaldehyde (IX) with nitromethane, followed by reductive hydrolysis of the intermediate unsaturated nitrocompound, to yield p-iodophenylacetone (VIII). The final sequence is the same as in scheme 09034702a.

参考文献No.556263
标题:Chemical and pharmacological aspects of cerebral cellular tracers
作者:Rapin, J.R.; Duterte, D.; le Poncin-Lafitte, M.; Coornaert, S.; Desplanches, G.; Bardy, A.; Askienazy, S.; Moretti, J.L.; Raynaud, C.
来源:Ann Radiol 1983,26(1),48
合成路线图解说明:

3) A third sequence proceeds by condensation of p-iodobenzaldehyde (IX) with nitromethane, followed by reductive hydrolysis of the intermediate unsaturated nitrocompound, to yield p-iodophenylacetone (VIII). The final sequence is the same as in scheme 09034702a.

参考文献No.556267
标题:131I-labelled N-isopropyl-p-Iodoamphetamine
作者:Carlsen, L.; Andresen, K.
来源:Eur J Nucl Med 1982,7(6),280
合成路线图解说明:

2) A route that does not involve controlled drugs (phenylacetone or amphetamine) proceeds from p-iodophenylacetic acid (VII). The starting material can be made in low yield by iodination of phenylacetic acid or by a two-step process from p-aminophenylacetic acid by diazotization and treatment with potassium iodide. Condensation of p-iodophenylacetic acid (VII) with acetic anhydride gives p-iodophenylacetone (VIII) in variable yields, depending on the purity of the starting carboxylic acid and en the choice of base. Reductive amination with isopropylamine then gives iofetamine (V) in good yield.

参考文献No.700049
标题:Development of I-123 N-Isopropyl-p-iodoamphetamine: Exploration, synthesis, metabolism, toxicology, and radiation dosimetry
作者:Baldwin, R.M.; Lin, T.H.; Wu, J.L.
来源:16th Jpn Conf Rad Radioisotope (Dec 6-8, Tokio) 1983,45(23),77
合成路线图解说明:

1) Reductive amination of phenylacetone (I) with ammonium acetate and sodium cyanoborohydride (I) gives d,l-amphetamine (II), which is separated by distillation at reduced pressure from a secondary amine byproduct resulting from reaction of amphetamine with phenylacetone. Iodination of the N-acetyl-protected amine followed by acid hydrolysis yields a mixture of ortho-meta and para substituted iodoamphetamine, from which the para-isomer can be obtained by crystallization of the salt (IV) from hydrochloric acid. Reductive condensation of the primary amine salt with acetone and sodium cyanoborohydride then yields ofetamine (V). The free base is converted to the hydrochloride salt (VI) by treatment with dry HCl gas in ether. The acetate salt may be prepared by treatment of the free base with glacial acetic acid in ether, followed by addition of hexane or petroleum ether to precipitate the product.

参考文献No.700062
标题:New ways of obtaining N-isopropyl-p-iodoamphetamine and pharmacokinetic studies in rat
作者:Rapin, J.R.; Bardy, A.; Coornaert, S.; et al.
来源:3rd Wordl Cong Nucl Med Biol (Aug, Paris) 1982,43598
合成路线图解说明:

3) A third sequence proceeds by condensation of p-iodobenzaldehyde (IX) with nitromethane, followed by reductive hydrolysis of the intermediate unsaturated nitrocompound, to yield p-iodophenylacetone (VIII). The final sequence is the same as in scheme 09034702a.

参考文献No.700120
标题:Die Phenylbenzylbernsteinsaueren
作者:Stoermer, R.; Strioh, H.
来源:Chem Ver 1935,682112
合成路线图解说明:

2) A route that does not involve controlled drugs (phenylacetone or amphetamine) proceeds from p-iodophenylacetic acid (VII). The starting material can be made in low yield by iodination of phenylacetic acid or by a two-step process from p-aminophenylacetic acid by diazotization and treatment with potassium iodide. Condensation of p-iodophenylacetic acid (VII) with acetic anhydride gives p-iodophenylacetone (VIII) in variable yields, depending on the purity of the starting carboxylic acid and en the choice of base. Reductive amination with isopropylamine then gives iofetamine (V) in good yield.

参考文献No.700121
标题:1- Phenylethylaminderivative als optisch aktive Adsorbentien
作者:Donow, F.; Blanschke, G.
来源:Chem Ver 1975,1082792
合成路线图解说明:

1) Reductive amination of phenylacetone (I) with ammonium acetate and sodium cyanoborohydride (I) gives d,l-amphetamine (II), which is separated by distillation at reduced pressure from a secondary amine byproduct resulting from reaction of amphetamine with phenylacetone. Iodination of the N-acetyl-protected amine followed by acid hydrolysis yields a mixture of ortho-meta and para substituted iodoamphetamine, from which the para-isomer can be obtained by crystallization of the salt (IV) from hydrochloric acid. Reductive condensation of the primary amine salt with acetone and sodium cyanoborohydride then yields ofetamine (V). The free base is converted to the hydrochloride salt (VI) by treatment with dry HCl gas in ether. The acetate salt may be prepared by treatment of the free base with glacial acetic acid in ether, followed by addition of hexane or petroleum ether to precipitate the product.

参考文献No.700227
标题:Applicazione dell reazione di Leukart ad alcuni fenil propan-2-oni sostituti in posizione para
作者:Cavallini, G.; Massarani, E.; Nardi, D.
来源:Farm Sci Ed 1956,11805
合成路线图解说明:

2) A route that does not involve controlled drugs (phenylacetone or amphetamine) proceeds from p-iodophenylacetic acid (VII). The starting material can be made in low yield by iodination of phenylacetic acid or by a two-step process from p-aminophenylacetic acid by diazotization and treatment with potassium iodide. Condensation of p-iodophenylacetic acid (VII) with acetic anhydride gives p-iodophenylacetone (VIII) in variable yields, depending on the purity of the starting carboxylic acid and en the choice of base. Reductive amination with isopropylamine then gives iofetamine (V) in good yield.

参考文献No.700263
标题:Synthesis and brain uptake of isomeric I-123 iodoamphetamine derivatives
作者:Lin, T.H.; Wu, J.L.; Baldwin, R.M.
来源:J Label Compd Radiopharm 1982,191305-1306
合成路线图解说明:

1) Reductive amination of phenylacetone (I) with ammonium acetate and sodium cyanoborohydride (I) gives d,l-amphetamine (II), which is separated by distillation at reduced pressure from a secondary amine byproduct resulting from reaction of amphetamine with phenylacetone. Iodination of the N-acetyl-protected amine followed by acid hydrolysis yields a mixture of ortho-meta and para substituted iodoamphetamine, from which the para-isomer can be obtained by crystallization of the salt (IV) from hydrochloric acid. Reductive condensation of the primary amine salt with acetone and sodium cyanoborohydride then yields ofetamine (V). The free base is converted to the hydrochloride salt (VI) by treatment with dry HCl gas in ether. The acetate salt may be prepared by treatment of the free base with glacial acetic acid in ether, followed by addition of hexane or petroleum ether to precipitate the product.

参考文献No.700264
标题:Synthesis of p-I-125 amphetamine
作者:le Poncin-Lafitte, M.; Duterte, D.; Morier, E.; et al.
来源:J Label Compd Radiopharm 1983,20149
合成路线图解说明:

3) A third sequence proceeds by condensation of p-iodobenzaldehyde (IX) with nitromethane, followed by reductive hydrolysis of the intermediate unsaturated nitrocompound, to yield p-iodophenylacetone (VIII). The final sequence is the same as in scheme 09034702a.

参考文献No.700340
标题:The decarboxylate acylation of arylacetic acids
作者:King, J.A.; Mc Millan, F.H.
来源:J Am Chem Soc 1951,73(6911),4911
合成路线图解说明:

2) A route that does not involve controlled drugs (phenylacetone or amphetamine) proceeds from p-iodophenylacetic acid (VII). The starting material can be made in low yield by iodination of phenylacetic acid or by a two-step process from p-aminophenylacetic acid by diazotization and treatment with potassium iodide. Condensation of p-iodophenylacetic acid (VII) with acetic anhydride gives p-iodophenylacetone (VIII) in variable yields, depending on the purity of the starting carboxylic acid and en the choice of base. Reductive amination with isopropylamine then gives iofetamine (V) in good yield.

参考文献No.700341
标题:The cyanoborohydride anion as a selective reducing agent
作者:Borch, R.F.; Durst, H.D.; Bernstein, M.D.
来源:J Am Chem Soc 1971,93(9),2397
合成路线图解说明:

1) Reductive amination of phenylacetone (I) with ammonium acetate and sodium cyanoborohydride (I) gives d,l-amphetamine (II), which is separated by distillation at reduced pressure from a secondary amine byproduct resulting from reaction of amphetamine with phenylacetone. Iodination of the N-acetyl-protected amine followed by acid hydrolysis yields a mixture of ortho-meta and para substituted iodoamphetamine, from which the para-isomer can be obtained by crystallization of the salt (IV) from hydrochloric acid. Reductive condensation of the primary amine salt with acetone and sodium cyanoborohydride then yields ofetamine (V). The free base is converted to the hydrochloride salt (VI) by treatment with dry HCl gas in ether. The acetate salt may be prepared by treatment of the free base with glacial acetic acid in ether, followed by addition of hexane or petroleum ether to precipitate the product.

参考文献No.700367
标题:Iodobenzene
作者:Lucas, H.J.; Kennedy, E.R.
来源:Org Synth Coll 1943,351
合成路线图解说明:

2) A route that does not involve controlled drugs (phenylacetone or amphetamine) proceeds from p-iodophenylacetic acid (VII). The starting material can be made in low yield by iodination of phenylacetic acid or by a two-step process from p-aminophenylacetic acid by diazotization and treatment with potassium iodide. Condensation of p-iodophenylacetic acid (VII) with acetic anhydride gives p-iodophenylacetone (VIII) in variable yields, depending on the purity of the starting carboxylic acid and en the choice of base. Reductive amination with isopropylamine then gives iofetamine (V) in good yield.

Drug Information Express,Drug R&D,Chemical Database,Patent Search.
Copyright © 2006-2026 Drug Future. All rights reserved.Contact Us