【药物名称】Nedocromil sodium, FPL-59002KP, FPL-59002(free acid), Tilavist, Tilarin, Alocril, Abrevia(former Brand Name), Rapitil, Tilade
化学结构式(Chemical Structure):
参考文献No.41908
标题:Nouvelles pyranoquinol閕nones et leurs compositions pharmaceutiques
作者:Caims, H.; Cox, D. (Rh鬾e-Poulenc Rorer Ltd.)
来源:DE 2819215; ES 469391; JP 1199909; JP 53137969
合成路线图解说明:

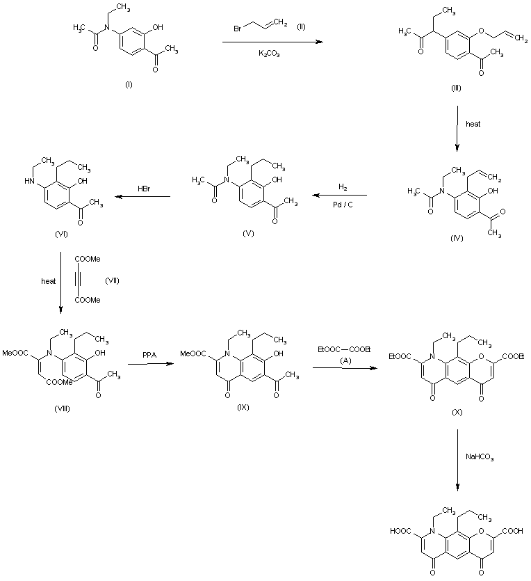
The alkylation of 4-(N-acetyl-N-ethylamino)-2-hydroxyacetophenone (I) with allyl bromide (II) by means of K2CO3 in DMF gives the allyl ether (III), which is isomerized by refluxing in diethylaniline to 4-(N-acetyl-N-ethylamino)-3-allyl-2-hydroxyacetophenone (IV) The reduction of (IV) with H2 over Pd/C in ethanol affords the corresponding propyl derivative (V), which is deacetylated with HBr in refluxing acetic acid water to 4-(ethylamino)-3-propyl-2-hydroxyacetophenone (VI). The addition of (VI) dimethyl acetylenedicarboxylate (VII) in refluxing ethanol affords the aminomaleate (VIII), which by cyclization witn polyphosphoric acid at 100 C gives methyl 1-ethyl-6-acetyl-7-hydroxy-4 oxo-8-propyl-4H-quinoline-2-carboxylate (IX). The condensation of (IX) with diethyl oxalate in DMF by means of NaH results in the ester of the final product (X), which is then hydrolyzed with NaHCO3 iin refluxing ethanol.

参考文献No.42007
标题:4,6-Dioxo-4H,6H-pyrano[3,2-g]quinoline-2,8-dicarbocyclic acids
作者:Cairns, H.; Cox, D. (Rh鬾e-Poulenc Rorer Ltd.)
来源:GB 2022078
合成路线图解说明:

The alkylation of 4-(N-acetyl-N-ethylamino)-2-hydroxyacetophenone (I) with allyl bromide (II) by means of K2CO3 in DMF gives the allyl ether (III), which is isomerized by refluxing in diethylaniline to 4-(N-acetyl-N-ethylamino)-3-allyl-2-hydroxyacetophenone (IV) The reduction of (IV) with H2 over Pd/C in ethanol affords the corresponding propyl derivative (V), which is deacetylated with HBr in refluxing acetic acid water to 4-(ethylamino)-3-propyl-2-hydroxyacetophenone (VI). The addition of (VI) dimethyl acetylenedicarboxylate (VII) in refluxing ethanol affords the aminomaleate (VIII), which by cyclization witn polyphosphoric acid at 100 C gives methyl 1-ethyl-6-acetyl-7-hydroxy-4 oxo-8-propyl-4H-quinoline-2-carboxylate (IX). The condensation of (IX) with diethyl oxalate in DMF by means of NaH results in the ester of the final product (X), which is then hydrolyzed with NaHCO3 iin refluxing ethanol.

参考文献No.49390
标题:Nedocromil sodium
作者:Prous, J.; Casta馿r, J.
来源:Drugs Fut 1986,11(9),756
合成路线图解说明:

The alkylation of 4-(N-acetyl-N-ethylamino)-2-hydroxyacetophenone (I) with allyl bromide (II) by means of K2CO3 in DMF gives the allyl ether (III), which is isomerized by refluxing in diethylaniline to 4-(N-acetyl-N-ethylamino)-3-allyl-2-hydroxyacetophenone (IV) The reduction of (IV) with H2 over Pd/C in ethanol affords the corresponding propyl derivative (V), which is deacetylated with HBr in refluxing acetic acid water to 4-(ethylamino)-3-propyl-2-hydroxyacetophenone (VI). The addition of (VI) dimethyl acetylenedicarboxylate (VII) in refluxing ethanol affords the aminomaleate (VIII), which by cyclization witn polyphosphoric acid at 100 C gives methyl 1-ethyl-6-acetyl-7-hydroxy-4 oxo-8-propyl-4H-quinoline-2-carboxylate (IX). The condensation of (IX) with diethyl oxalate in DMF by means of NaH results in the ester of the final product (X), which is then hydrolyzed with NaHCO3 iin refluxing ethanol.

参考文献No.700265
标题:Synthesis of nedocromil sodium labelled with tritium, deuterium and carbon-14
作者:Wilkinson, D.J.; Lockley, W.J.S.
来源:J Label Compd Radiopharm 1985,22(9),883
合成路线图解说明:

The alkylation of 4-(N-acetyl-N-ethylamino)-2-hydroxyacetophenone (I) with allyl bromide (II) by means of K2CO3 in DMF gives the allyl ether (III), which is isomerized by refluxing in diethylaniline to 4-(N-acetyl-N-ethylamino)-3-allyl-2-hydroxyacetophenone (IV) The reduction of (IV) with H2 over Pd/C in ethanol affords the corresponding propyl derivative (V), which is deacetylated with HBr in refluxing acetic acid water to 4-(ethylamino)-3-propyl-2-hydroxyacetophenone (VI). The addition of (VI) dimethyl acetylenedicarboxylate (VII) in refluxing ethanol affords the aminomaleate (VIII), which by cyclization witn polyphosphoric acid at 100 C gives methyl 1-ethyl-6-acetyl-7-hydroxy-4 oxo-8-propyl-4H-quinoline-2-carboxylate (IX). The condensation of (IX) with diethyl oxalate in DMF by means of NaH results in the ester of the final product (X), which is then hydrolyzed with NaHCO3 iin refluxing ethanol.

Drug Information Express,Drug R&D,Chemical Database,Patent Search.
Copyright © 2006-2026 Drug Future. All rights reserved.Contact Us