【药物名称】TA-5707
化学结构式(Chemical Structure):
参考文献No.66428
标题:TA-5707
作者:Serradell, M.N.; Casta馿r, J.
来源:Drugs Fut 1984,9(7),527
合成路线图解说明:

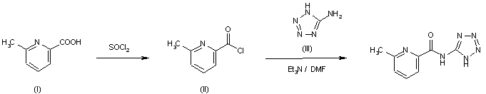
The reaction of 6-methylpyridine-2-carboxylic acid (I) with refluxing SOCl2 gives 6-methylpyridine-2-carbonyl chloride (II), which is condensed with 5-aminotetrazole (III) by means of triethylamine in hot DMF.

参考文献No.605346
标题:Antiallergic agents. 3. N-(1H-Tetrazol-5-yl)-2-pyridinecarboxamides
作者:Takeda, M.; Sekine, Y.; Ono, Y.; Hashiyama, T.; Honma, Y.; Tsuzurahara, K.; Hanamoto, K.
来源:J Med Chem 1984,27(2),125-128
合成路线图解说明:

The reaction of 6-methylpyridine-2-carboxylic acid (I) with refluxing SOCl2 gives 6-methylpyridine-2-carbonyl chloride (II), which is condensed with 5-aminotetrazole (III) by means of triethylamine in hot DMF.

参考文献No.701200
标题:2-Pyridinecarboxamide derivatives compositions containing same and method of using same
作者:Takeda, M.; Honma, Y.; Tsuzurahara, K.
来源:EP 0053789; ES 8303398; JP 1482289C; JP 57095984; US 4404214
合成路线图解说明:

The reaction of 6-methylpyridine-2-carboxylic acid (I) with refluxing SOCl2 gives 6-methylpyridine-2-carbonyl chloride (II), which is condensed with 5-aminotetrazole (III) by means of triethylamine in hot DMF.

Drug Information Express,Drug R&D,Chemical Database,Patent Search.
Copyright © 2006-2026 Drug Future. All rights reserved.Contact Us