【药物名称】SM-108
化学结构式(Chemical Structure):
参考文献No.66425
标题:SM-108
作者:Serradell, M.N.; Hopkins, S.J.; Casta馿r, J.
来源:Drugs Fut 1984,9(7),525
合成路线图解说明:

This compound can be obtained by two related ways: 1) By cyclization of aminomalonamide (I) with ethyl orthoformate (II) at 150 C catalyzed with acetic acid. 2) By cyclization of (I) with ethyl formimidate (III) at 150 C catalyzed with acetic acid.

参考文献No.701185
标题:
作者:Atami, T.; et al.
来源:JP 77118468
合成路线图解说明:

This compound can be obtained by two related ways: 1) By cyclization of aminomalonamide (I) with ethyl orthoformate (II) at 150 C catalyzed with acetic acid. 2) By cyclization of (I) with ethyl formimidate (III) at 150 C catalyzed with acetic acid.

参考文献No.701186
标题:
作者:Atsumi, T.; et al.
来源:JP 7688965
合成路线图解说明:

This compound can be obtained by two related ways: 1) By cyclization of aminomalonamide (I) with ethyl orthoformate (II) at 150 C catalyzed with acetic acid. 2) By cyclization of (I) with ethyl formimidate (III) at 150 C catalyzed with acetic acid.

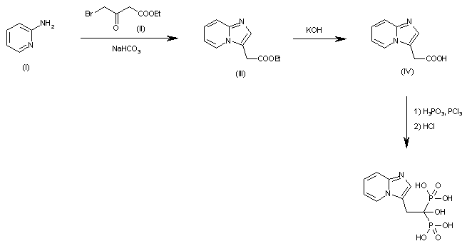
合成路线图解说明:

The cyclization of 2-aminopyridine (I) with ethyl 4-bromoacetoacetate (II) by means of NaHCO3 in hot dioxane gives the imidazopyridine (III), which is hydrolyzed at the ester function with KOH in ethanol yielding the free acid (IV) . Finally, the treatment of acid (IV) with phosphorous acid and PCl3 in chlorobenzene at 115 C, followed by hydrolysis in boiling 6N HCl yielded the target bisphosphonate.

Drug Information Express,Drug R&D,Chemical Database,Patent Search.
Copyright © 2006-2026 Drug Future. All rights reserved.Contact Us