【药物名称】K-76 COONa
化学结构式(Chemical Structure):
参考文献No.66407
标题:K-76 COONa
作者:Serradell, M.N.; Casta馿r, J.; Hillier, K.
来源:Drugs Fut 1984,9(7),514
合成路线图解说明:

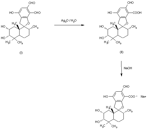
By oxidation of K-76 (I) with Ag2O in water (I) is obtained from a culture broth of Stachybotrys complementi.

参考文献No.333752
标题:A complement inhibitor produced by Stachybotrys complementi, nov. sp. K-76, a new sepecies of Fungi imperfecti
作者:Miyazaki, W.; Tamaoka, H.; Shinohara, M.; Kaise, H.; Izawa, T.; Nakano, Y.; Kinoshita, T.; Hong, K.; Inoue, K.
来源:Microbiol Immunol 1980,24(11),1091
合成路线图解说明:

By oxidation of K-76 (I) with Ag2O in water (I) is obtained from a culture broth of Stachybotrys complementi.

参考文献No.701172
标题:Composition for prophylaxis and therapy of hepatitis
作者:Shinohara, M.; Kaise, H.; Nakano, Y.; Izawa, T.; Oshiro, Y.; Miyazaki, W.
来源:DE 3031788; IT 1207133; JP 56030917; US 4831053
合成路线图解说明:

By oxidation of K-76 (I) with Ag2O in water (I) is obtained from a culture broth of Stachybotrys complementi.

参考文献No.800301
标题:An anticomplementary agent, K-76 monocarboxylic acid: Its site and mechanism of inhibition of the complement activation cascade
作者:Hong, K.; et al.
来源:J Immunol 1979,1222418-23
合成路线图解说明:

By oxidation of K-76 (I) with Ag2O in water (I) is obtained from a culture broth of Stachybotrys complementi.

Drug Information Express,Drug R&D,Chemical Database,Patent Search.
Copyright © 2006-2026 Drug Future. All rights reserved.Contact Us