【药物名称】Enolicam sodium, CGS-5391B(anhydrous)
化学结构式(Chemical Structure):
参考文献No.68125
标题:Enolicam sodium
作者:Serradell, M.N.; Casta馿r, J.
来源:Drugs Fut 1984,9(7),508
合成路线图解说明:

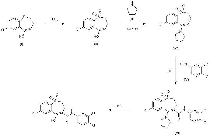
The oxidation of 7-chloro-5-hydroxy-2,3-dihydro-1-benzothiepin (I) with H2O2 in acetic acid - water gives 7-chloro-5-hydroxy-2,3-dihydro-1-benzothiepin-1,1-dioxide (II), which by reaction with pyrrolidine (III) and p-toluenesulfonic acid in refluxing benzene is converted into 7-chloro-5-pyrrolidino-2,3-dihydro-1-benzothiepin-1,1-dioxide (IV). The condensation of (IV) with 3,4-dichlorophenyl isocyanate (V) in hot THF yields N-(3,4-dichlorophenyl)-7-chloro-5-pyrrolidino-2,3-dihydro-1-benzothiepin-4-carboxamide-1,1-dioxide (VI), which is finally hydrolyzed with HCl in refluxing ethanol - water.

参考文献No.701177
标题:1-Benzothiepin-4-carboxamides
作者:Rosen, M.H.
来源:BE 0833787; CA 1066279; CH 617433; DE 2542329; FR 2285872; US 4185109
合成路线图解说明:

The oxidation of 7-chloro-5-hydroxy-2,3-dihydro-1-benzothiepin (I) with H2O2 in acetic acid - water gives 7-chloro-5-hydroxy-2,3-dihydro-1-benzothiepin-1,1-dioxide (II), which by reaction with pyrrolidine (III) and p-toluenesulfonic acid in refluxing benzene is converted into 7-chloro-5-pyrrolidino-2,3-dihydro-1-benzothiepin-1,1-dioxide (IV). The condensation of (IV) with 3,4-dichlorophenyl isocyanate (V) in hot THF yields N-(3,4-dichlorophenyl)-7-chloro-5-pyrrolidino-2,3-dihydro-1-benzothiepin-4-carboxamide-1,1-dioxide (VI), which is finally hydrolyzed with HCl in refluxing ethanol - water.

Drug Information Express,Drug R&D,Chemical Database,Patent Search.
Copyright © 2006-2026 Drug Future. All rights reserved.Contact Us