【药物名称】LY-164846
化学结构式(Chemical Structure):
参考文献No.430
标题:Benzothienylglycyl cephalosporin derivs.
作者:Blaszczak, L.C.; Kukolja, S.; Turner, J.R. (Eli Lilly and Company)
来源:ES 8600308; GB 2137995; US 4492693
合成路线图解说明:

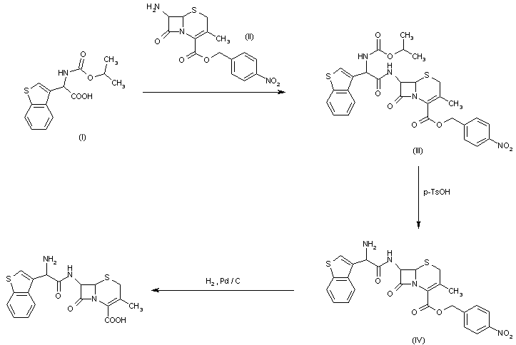
The condensation of N-(tert-butoxycarbonyl)-2-benzothien-3-ylglycine (I) with 4-nitrobenzyl-7-amino-3-methyl-3-cephem-4-carboxylate (II) in THF gives 4-nitrobenzyl-7-[N-(tert-butoxycarbonyl)-2-benzo[b]thien-3-ylglycylamido]-3 methyl-3-cephem-4-carboxylate (III), which is deprotected partially by treatment with p-toluenesulfonic acid in acetonitrife yielding 4-nitrobenzyl-7-(benzo[b]thien-3-ylglycyl-amido)-3-methyl-3-cephem-4-carboxytate (IV). Finally, this product is submitted to hydrogenolysis with H2 over Pd/C in methanol HCl.

参考文献No.68119
标题:LY-164846
作者:Casta馿r, J.; Prous, J.
来源:Drugs Fut 1986,11(7),570
合成路线图解说明:

The condensation of N-(tert-butoxycarbonyl)-2-benzothien-3-ylglycine (I) with 4-nitrobenzyl-7-amino-3-methyl-3-cephem-4-carboxylate (II) in THF gives 4-nitrobenzyl-7-[N-(tert-butoxycarbonyl)-2-benzo[b]thien-3-ylglycylamido]-3 methyl-3-cephem-4-carboxylate (III), which is deprotected partially by treatment with p-toluenesulfonic acid in acetonitrife yielding 4-nitrobenzyl-7-(benzo[b]thien-3-ylglycyl-amido)-3-methyl-3-cephem-4-carboxytate (IV). Finally, this product is submitted to hydrogenolysis with H2 over Pd/C in methanol HCl.

Drug Information Express,Drug R&D,Chemical Database,Patent Search.
Copyright © 2006-2026 Drug Future. All rights reserved.Contact Us