【药物名称】Indometacin farnesil, Indomethacin farnesil, E-0710, Infree
化学结构式(Chemical Structure):
参考文献No.46482
标题:Polyprenyl esters of acemethacins and anti-inflammatory method of use thereof
作者:Yamatsu, I.; Abe, S.; Inai, Y.; Suzuki, T.; Kinoshita, K.; Mishima, M.; Katoh, Y.; Kobayashi, S.; Murakami, M.; Yamada, K. (Eisai Co., Ltd.)
来源:DE 3226687; FR 2510107; GB 2104513; JP 8315940
合成路线图解说明:

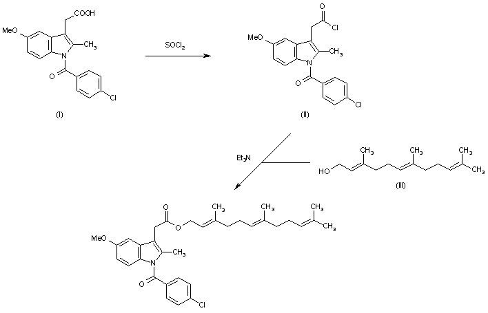
The reacion of 1-(4-chlorobenzoyl)-2-methyl-5-methoxyindolyl-3-acetic acid (I) with SOCl2 in refluxing benzene gives the corresponding acyl chloride (II), which is condensed with farnesol (III) by means of triethylamine in THF.

参考文献No.66384
标题:E-0710
作者:Serradell, M.N.; Casta馿r, J.
来源:Drugs Fut 1984,9(7),506
合成路线图解说明:

The reacion of 1-(4-chlorobenzoyl)-2-methyl-5-methoxyindolyl-3-acetic acid (I) with SOCl2 in refluxing benzene gives the corresponding acyl chloride (II), which is condensed with farnesol (III) by means of triethylamine in THF.

Drug Information Express,Drug R&D,Chemical Database,Patent Search.
Copyright © 2006-2026 Drug Future. All rights reserved.Contact Us