【药物名称】Cisapride hydrate, R-51619(anhydrous), Arcasin, Alimix, Propulsin, Propulsid, Acenalin, Risamol, Prepulsid
化学结构式(Chemical Structure):
参考文献No.43430
标题:Novel N-(3-hydroxy-4-piperidinyl)benzamide derivs.
作者:Van Daele, G. (Janssen Pharmaceutica NV)
来源:US 4962115
合成路线图解说明:

By condensation of cis-4-amino-5-chloro-2-methoxy-N-(3-methoxy-4-piperidyl)benzamide (I) with 1-(3-chloropropoxy)-4-fluorobenzene (II) by means of KI and triethylamine in hot DMF.

合成路线图解说明:

By condensation of 4-amino-5-chloro-2-methoxybenzoyl chloride (III) with 4-amino-1-[3-(fluorophenoxy)propyl]-3-methoxypiperidine (IV) by means of triethylamine in CHCl3.

合成路线图解说明:

The bromination of 4-oxopiperidine-1-carboxylic acid ethyl ester (I) with Br2 in chloroform gives 3-bromo-4-oxopiperidine-1-carboxylic acid ethyl ester (II), which is treated with NaOMe in methanol to yield 3-hydroxy-4,4-dimethoxypiperidine-1-carboxylic acid ethyl ester (III). The methylation of (III) with NaH and MeI in DMF affords 3,4,4-trimethoxypiperidine-1-carboxylic acid ethyl ester (IV), which is hydrolyzed with refluxing 1% aq. H2SO4 to provide 3-methoxy-4-oxopiperidine-1-carboxylic acid ethyl ester (V). The reductocondensation of (V) with benzylamine and H2 over Pd/C in methanol in the presence of thiophene gives cis-4-amino-3-methoxypiperidine-1-carboxylic acid ethyl ester (VI), which is condensed with 4-amino-5-chloro-2-methoxybenzoic acid (VII) by means of ethyl chloroformate and TEA in chloroform to yield the benzamide (VIII). The hydrolysis of the carbamate group of (VIII) with KOH in refluxing isopropanol affords the free piperidine derivative (IX), which is finally condensed with 3-(4-fluorophenoxy)propyl chloride (X) by means of TEA and KI in hot DMF to provide the target, cisapride.

参考文献No.51902
标题:Process for the preparation of benzamides
作者:Gutierrez Fuentes, L.G.
来源:ES 2019047
合成路线图解说明:

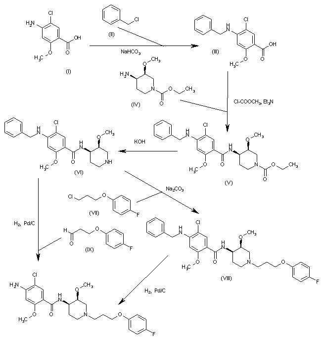
The reaction of 4-amino-5-chloro-2-methoxybenzoic acid (I) with benzyl chloride (II) and NaHCO3 in refluxing water gives the N-benzyl protected compound (III), which is condensed with cis-4-amino-3-methoxypiperidine-1-carboxylic acid ethyl ester (IV) by means of methyl chloroformate and TEA in dichloromethane to yield the benzamide (V). The deprotection of (V) with KOH in refluxing isopropanol affords compound (VI) with a free piperidinic NH group that is acylated with 3-(4-fluorophenoxy)propyl chloride (VII) by means of Na2CO3 in refluxing methylisobutylketone to provide the protected adduct (VIII). Finally, this compound is debenzylated by hydrogenation with H2 over Pd/C in hot methanol to give the target compound. Alternatively, the piperidine derivative (VI) is treated with p-toluenesulfonic acid in refluxing toluene and then debenzylated and simultaneously reductocondensed with 3-(4-fluorophenoxy)propionaldehyde (IX) by means of H2 over Pd/C in methanol to give the target compound.

参考文献No.51903
标题:Process for the preparation of 4-aminopiperidine derivs.
作者:Gallardo Carrera, A. (Fordonal SL)
来源:ES 8601133
合成路线图解说明:

The title compound has been obtained by condensation of methanesulfonate (I) with 4-fluorophenol (II) by means of NaNH2 in DMF.

参考文献No.51904
标题:Process for obtaining cis-4-amino-5-chloro-2-methoxy-N-[1-[3-(4-fluorophenoxy)propyl]-3-methoxy-4-piperidinyl]benzamide
作者:Huguet Clotet, J.; Caldero Ges, J.M.
来源:ES 2019235
合成路线图解说明:

The title compound has been obtained by hydrogenation of 4-amino-5-chloro-N-[1-[3-(4-fluorophenoxy)propyl]-3-methoxy-1,2,5,6-tetrahydropyridin-4-yl]-2-methoxybenzamide (I) with H2 over Pt/C or Rh/Al2O3 in methanol.

参考文献No.51905
标题:Process for obtaining cis-4-amino-5-chloro-2-methoxy-N-[1-[3-(4-fluorophenoxy)propyl]-3-methoxy-4-piperidinyl]benzamide
作者:Caldero Ges, J.M.; Huguet Clotet, J.
来源:ES 2019234
合成路线图解说明:

The title compound has been obtained by hydrogenation of 4-(4-amino-5-chloro-2-methoxybenzamido)-1-[3-(4-fluorophenoxy)propyl]-3-methoxypyridinium iodide (I) with H2 over PtO2 in methanol, or with NaBH4 and RhCl3 or NiCl2 in methanol.

参考文献No.51906
标题:Process for obtaining cis-4-amino-5-chloro-2-methoxy-N-[1-[3-(4-fluorophenoxy)propyl]-3-methoxy-4-piperidinyl]benzamide
作者:Huguet Clotet, J.; Caldero Ges, J.M.
来源:ES 2020128
合成路线图解说明:

The title compound has been obtained by hydrogenation of 4-(4-amino-5-chloro-2-methoxybenzamido)-1-[3-(4-fluorophenoxy)propyl]-3-methoxypyridinium iodide (I) with H2 over PtO2 in methanol, or with NaBH4 and RhCl3 or NiCl2 in methanol.

参考文献No.51907
标题:Process for obtaining a 4-amino-5-chloro-2-methoxybenzoic acid deriv.
作者:Izquierdo Sanjos? M.; Mart韓 Escudero, U.
来源:ES 2002640
合成路线图解说明:

The title compound has been obtained by condensation of 4-amino-5-chloro-2-methoxybenzoic acid (I) with cis-1-[3-(4-fluorophenoxy)propyl]-3-methoxypiperidine-4-amine (II) by means of DCC in dichloromethane or PCl3 in benzene.

合成路线图解说明:

The reductive amination of 4-cyano-4-(4-fluorophenyl)cyclohexanone (I) with (-)-benzyl 3-methyl-4-phenyl-4-piperidinecarboxylate (II) by means of H2 and Pt/C 5% in the presence of thiophene in isopropyl alcohol at normal pressure and at 50 C gives a 9:1 mixture of (-)-benzyl [3S-[1(cis)-3alpha,4beta]]-1-[4-cyano-4-(4-fluorophenyl)cyclohexyl]-3-methyl-4-phenyl-4-piperidinecarboxylate and (-)-benzyl [3S-[1(trans)-3alpha,4beta]]-1-[4-cyano-4-(4-fluorophenyl)cyclohexyl]-3-methyl-4-phenyl-4-piperidine-carboxylate. Chromatographic separation [dry column, silica gel, eluted with organic phase of a mixture of chloroform and methanol (99.0:1.0 by volume) yields the pure (-)-benzyl [3S-[1(cis)-3alpha,methyl-4-phenyl-4-piperidinecarboxylate (III), which is hydrogenolized in tetrahydrofuran at normal pressure and room temperature. The resulting free carboxylic acid is transformed to the monohydrochloric acid in methanol.

参考文献No.51908
标题:Process for the preparation of substd. benzamides
作者:Alonso Cires, L.
来源:ES 8605768
合成路线图解说明:

The title compound has been obtained by condensation of 4-amino-5-chloro-2-methoxybenzoic acid (I) with cis-1-[3-(4-fluorophenoxy)propyl]-3-methoxypiperidine-4-amine (II) by means of DCC in dichloromethane or PCl3 in benzene.

参考文献No.51910
标题:Preparation of cisapride
作者:So, R.; Slemon, C.; Oudenes, J.; Ngooi, T.-K.; Lu, Y.-F. (Torcan Chemical Ltd.)
来源:WO 9611186
合成路线图解说明:

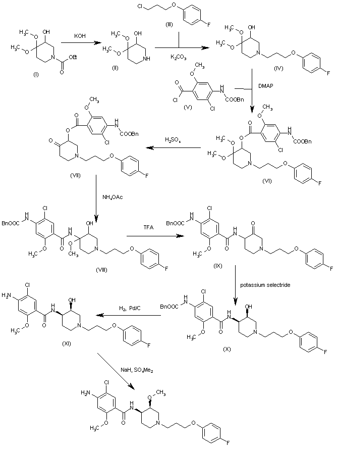
The decarboxylation of 3-hydroxy-4,4-dimethoxypiperidine-1-carboxylic acid ethyl ester (I) with KOH in refluxing isopropanol gives the piperidine (II), which is condensed with 3-(4-fluorophenoxy)propyl chloride (III) by means of K2CO3 in refluxing methyl isobutyl ketone to afford the alkylated piperidine (IV). The esterification of the OH group of (IV) with benzoyl chloride (V) and DMAP in dichloromethane provides the ester (VI), which is treated with sulfuric acid in dichloromethane to obtain the piperidinone (VII). The rearrangement of (VII) by means of ammonium acetate and acetic acid provides the amide (VIII), which is treated with TFA in dichloromethane to give the oxo amide (IX). The regioselective hydrogenation of the oxo group of (IX) with potassium selectride in THF affords the cis-hydroxyamide (X), which is hydrogenated with H2 over Pd/C in acetic acid to provide the 4-aminobenzamide (XI). Finally, the free OH group of (XI) is methylated with NaH and dimethyl sulfate in THF.

参考文献No.51911
标题:Synthesis of cisapride
作者:Moens, L.J.R.; Rey, M.; De Knaep, A.G.M. (Janssen Pharmaceutica NV)
来源:WO 9816511
合成路线图解说明:

The reductive amination of 1-[3-(4-fluorophenoxy)propyl]-3-methoxypiperidin-4-one (I) with benzylamine by hydrogenation with H2 over Pd/C, followed by crystallization of the HCl or HNO3 salts, gives cis-1-[3-(4-fluorophenyl)propyl]-3-methoxypiperidine-4-amine (II). This compound is condensed with 4-amino-5-chloro-2-methoxybenzoic acid (III) by means of ethyl chloroformate, TEA and HOBt to afford the target amide.

参考文献No.53179
标题:Ethyl 3-bromo-4-oxo-1-piperidinecarboxylate, process for obtaining it and novel intermediates for its preparation
作者:Serra Masia, J.; Lombardero Fern醤dez, J.; Montserrat, Vidal, C. (Laboratorios Salvat SA)
来源:ES 2053394
合成路线图解说明:

The 3-bromo-4-oxopiperidine-1-carboxylic acid ethyl ester (III), an intermediate in the synthesis of cisapride, has been obtained as follows: The bromination of 4-oxopiperidine-1-carboxylic acid ethyl ester (I) with Br2 in methanol followed by neutralization of the resulting HBr with NaOMe in the same solvent gives 3-bromo-4,4-dimethoxypiperidine-1-carboxylic acid ethyl ester (II), which is finally hydrolyzed with aq. 2N HBr or HCl to afford the target intermediate 3-bromo-4-oxopiperidine-1-carboxylic acid ethyl ester (III).

参考文献No.53414
标题:Process for obtaining cis-4-amino-5-chloro-N-[1-[3-(4-fluorophenoxy)propyl]-3-methoxy-4-piperidinyl]-2-methoxybenzamide
作者:Serra i Mas韆, J.; Montserrat Vidal, C.
来源:ES 2019011
合成路线图解说明:

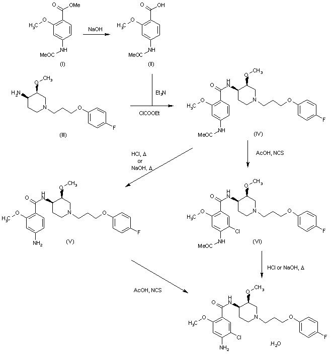
Saponification of 4-acetylamino-2-methoxybenzoate methyl ester (I) with NaOH in MeOH provides carboxylic acid (II), which is then coupled to cis-4-amino-1-[3-(fluorophenoxy)propyl]-3-methoxypiperidine (III) by means of ethyl chloroformate and Et3N in chloroform, affording benzamide (IV). Removal of the acetyl group either by means of HCl at reflux or with NaOH in refluxing MeOH furnishes derivative (V), which is finally converted into the desired product by chlorination with N-chlorosuccinimide (NCS) in acetic acid. Alternatively, compound (IV) can be converted into the target compound by first chlorination with NCS in HOAc, providing chloro derivative (VI), followed by acetyl removal either with HCl at 90 C or with NaOH in refluxing MeOH.

参考文献No.64380
标题:Cisapride
作者:Neuman, M.; Serradell, M.N.; Casta馿r, J.
来源:Drugs Fut 1984,9(7),497
合成路线图解说明:

By condensation of cis-4-amino-5-chloro-2-methoxy-N-(3-methoxy-4-piperidyl)benzamide (I) with 1-(3-chloropropoxy)-4-fluorobenzene (II) by means of KI and triethylamine in hot DMF.

合成路线图解说明:

By condensation of 4-amino-5-chloro-2-methoxybenzoyl chloride (III) with 4-amino-1-[3-(fluorophenoxy)propyl]-3-methoxypiperidine (IV) by means of triethylamine in CHCl3.

参考文献No.631888
标题:A short synthesis of cisapride: A gastrointestinal stimulant derived from cis-4-amino-3-methoxypiperidine
作者:Cossy, J.; et al.
来源:Tetrahedron Lett 2001,42(33),5713
合成路线图解说明:

The condensation of 3-(4-fluorophenoxy)propionic acid (I) with 4-piperidone (II) by means of pivaloyl chloride and TEA in refluxing toluene gives the amide (III), which is submitted to oxidation with diacetoxyiodobenzene and KOH in methanol, yielding the hydroxy-dimethoxyketal (IV). The methylation of the OH group of (IV) with Me-I and Ag2O in DMF affords the corresponding methoxy compound (V), which is hydrolyzed with HOAc to provide the methoxypiperidone (VI). The reaction of (VI) with O-benzylhydroxylamine (VII) and pyridine in refluxing toluene gives the oxime (VIII), which is diastereoselectively reduced with BH3 in THF, yielding the cis-isomer (IX). Finally, this amine is condensed with 4-amino-5-chloro-2-methoxybenzoic acid (X) by means of ethyl chloroformate, TEA and HOBt in DMF to afford the target amide.

参考文献No.640471
标题:Synthesis of cisapride, a gastrointestinal stimulant derived from cis-4-amino-3-methoxypiperidine
作者:Van Daele, G.H.P.; et al.
来源:Drug Dev Res 1986,8225
合成路线图解说明:

This compound has been obtained by two related ways: 1. The reaction of 1-benzyl-3-bromopiperidin-4-one (I) with sodium methoxide in methanol gives the intermediate epoxide, which in the reaction medium yields 1-benzyl-3-hydroxypiperidin-4-one dimethylacetal (III). The hydrogenation of (III) with H2 over Pd/C in methanol affords 3-hydroxypiperidin-4-one dimethylacetal (IV), which is condensed with ethyl chloroformate (V) by means of NaOH in THF to provide 3-hydroxy-4,4-dimethoxypiperidine-1-carboxylic acid ethyl ester (VI), which is methylated with methyl iodide and NaH in DMF to give the 3,4,4-trimethoxy compound (VII). The hydrolysis of the acetal group of (VII) by means of H2SO4 in refluxing water yields the piperidinone (VIII), which by reductocondensation with benzylamine and H2 over Pd/C in methanol affords the cis- 4-(benzylamino)-3-methoxypiperidine-1-carboxylic acid ethyl ester (IX). The decarboxylation of (IX) by means of KOH in refluxing isopropanol provides the cis-4-(benzyloxy)-3-methoxypiperidine (X), which is alkylated with 3-(4-fluorophenoxy)propyl chloride (XI) by means of TEA in DMF, giving the N-substituted piperidine (XII). The deprotection of the amino group of (XII) by hydrogenation with H2 over Pd/C in methanol yields the 4-aminopiperidine (XIII), which is finally condensed with 4-amino-5-chloro-2-methoxybenzoic acid (XIV) by means of ethyl chloroformate and TEA in chloroform to obtain the target carboxamide. 2. The debenzylation of the cis- 4-(benzylamino)-3-methoxypiperidine-1-carboxylic acid ethyl ester (IX) with H2 over Pd/C in methanol gives the cis-4-amino-3-methoxypiperidine-1-carboxylic acid ethyl ester (XV), which is condensed with 4-amino-5-chloro-2-methoxybenzoic acid (XIV) by means of ethyl chloroformate and TEA in chloroform to yield the corresponding amide (XVI). The decarboxylation of (XVI) with KOH in refluxing isopropanol affords (XVII), with a free NH group that is alkylated with 3-(4-fluorophenoxy)propyl chloride (XI) by means of TEA in DMF to obtain the target carboxamide.

参考文献No.900162
标题:
作者:Van Daele, G.H.P. (Janssen Pharmaceutica NV)
来源:ES 2007259
合成路线图解说明:

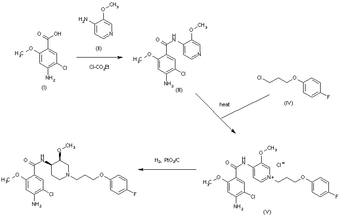
The condensation of 4-amino-5-chloro-2-methoxybenzoic acid (I) with 3-methoxypyridine-4-amine (II) by means of ethyl chloroformate and DEA in chloroform gives the corresponding amide (III), which is condensed with 3-(4-fluorophenoxy)propyl chloride (IV) by means of phenol in hot toluene to yield the pyridinium chloride (V). Finally, this compound is hydrogenated with H2 over PtO2/C in ethanol containing NaHCO3 to afford the target cisapride.

Drug Information Express,Drug R&D,Chemical Database,Patent Search.
Copyright © 2006-2026 Drug Future. All rights reserved.Contact Us