【药物名称】Theprubicin, Pirarubicin, THP-ADM, Therarubicin, Pinorubicin
化学结构式(Chemical Structure):
参考文献No.46254
标题:Anthracycline derivatives, a process for their preparation and pharmaceutical compositions containing them
作者:Umezawa, H.; Takeuchi, T.; Naganawa, H.; Tatsuka, K. (Microbial Chemistry Research Foundation)
来源:AT 369384B; CA 1136618; EP 0014853; ES 488209; US 4303785
合成路线图解说明:

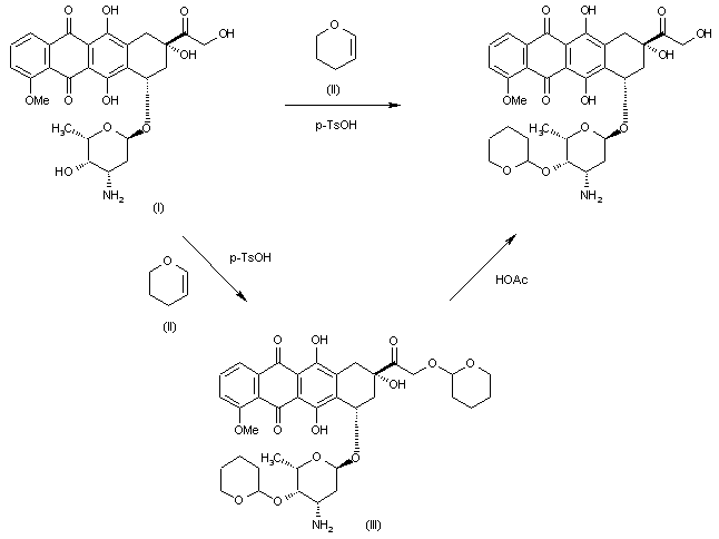
This compound can be obtained by two related ways: 1) By reaction of adriamycin (I) with 2,3-dihydropyran (II) by means of p-toluenesulfonic acid as a catalyst in DMF. 2) The reaction of adriamycin (I) with 2,3-dihydropyran (II) under stronger conditions yields 14,4'-O-bistetrahydropyranyladriamycin (III), which is selectively hydrolyzed with aqueous 10% acetic acid.

参考文献No.64379
标题:THP-ADM
作者:Blancafort, P.; Casta馿r, J.; Serradell, M.N.
来源:Drugs Fut 1983,8(7),610
合成路线图解说明:

This compound can be obtained by two related ways: 1) By reaction of adriamycin (I) with 2,3-dihydropyran (II) by means of p-toluenesulfonic acid as a catalyst in DMF. 2) The reaction of adriamycin (I) with 2,3-dihydropyran (II) under stronger conditions yields 14,4'-O-bistetrahydropyranyladriamycin (III), which is selectively hydrolyzed with aqueous 10% acetic acid.

参考文献No.605735
标题:Tetrahydropyranyl derivatives of daunomycin and adriamycin
作者:Umezawa, H.; Takahashi, Y.; Kinoshita, M.; Naganawa, H.; Masuda, T.; Ishizuka, M.; Tatsuta, K.; Takeuchi, T.
来源:J Antibiot 1979,32(10),1082-85
合成路线图解说明:

This compound can be obtained by two related ways: 1) By reaction of adriamycin (I) with 2,3-dihydropyran (II) by means of p-toluenesulfonic acid as a catalyst in DMF. 2) The reaction of adriamycin (I) with 2,3-dihydropyran (II) under stronger conditions yields 14,4'-O-bistetrahydropyranyladriamycin (III), which is selectively hydrolyzed with aqueous 10% acetic acid.

Drug Information Express,Drug R&D,Chemical Database,Patent Search.
Copyright © 2006-2026 Drug Future. All rights reserved.Contact Us