【药物名称】NSC-127755
化学结构式(Chemical Structure):
参考文献No.68115
标题:NSC-127,755
作者:Blancafort, P.; Serradell, M.N.; Casta馿r, J.; Hillier, K.
来源:Drugs Fut 1983,8(7),596
合成路线图解说明:

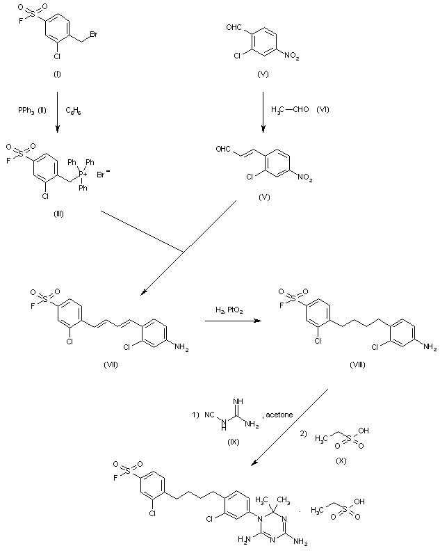
The reaction of 2-chloro-4-fluorosulfonylbenzyl bromide (I) with triphenylphosphine (II) in refluxing benzene gives the corresponding triphenylphosphonium bromide (III), which is submitted to a Wittig condensation with 2-chloro-4-nitrocinnamaldehyde (IV) [prepared by an aldol condensation of 2-chloro-4-nitrobenzaldehyde (V) and acetaldehyde (VI)] yielding 1-(4-fluorosulfonyl-2-chlorophenyl)-4-(2-chloro-4-nitrophenyl)butadiene (VII). The reduction of (VII) with H2 over PtO2 in methoxyethanol affords 1-(4-fluorosulfonyl-2-chlorophenyl)-4-(2-chloro-4-aminophenyl)butane (VIII), which is finally cyclized with cyanoguanidine (IX) and acetone and treated with ethanesultonic acid.

参考文献No.607662
标题:Irreversible enzyme inhibitors. CLXXVII. Active-site-directed irreversible inhibitos of dihydrofolate reductase derived from 4,6-diamino-1,2-dihydro-2,2-dimethyl-1-(phenylalkylphenyl)-s-triazines
作者:Baker, B.R.; Vermeulen, N.M.J.
来源:J Med Chem 1970,13(6),1154-60
合成路线图解说明:

The reaction of 2-chloro-4-fluorosulfonylbenzyl bromide (I) with triphenylphosphine (II) in refluxing benzene gives the corresponding triphenylphosphonium bromide (III), which is submitted to a Wittig condensation with 2-chloro-4-nitrocinnamaldehyde (IV) [prepared by an aldol condensation of 2-chloro-4-nitrobenzaldehyde (V) and acetaldehyde (VI)] yielding 1-(4-fluorosulfonyl-2-chlorophenyl)-4-(2-chloro-4-nitrophenyl)butadiene (VII). The reduction of (VII) with H2 over PtO2 in methoxyethanol affords 1-(4-fluorosulfonyl-2-chlorophenyl)-4-(2-chloro-4-aminophenyl)butane (VIII), which is finally cyclized with cyanoguanidine (IX) and acetone and treated with ethanesultonic acid.

Drug Information Express,Drug R&D,Chemical Database,Patent Search.
Copyright © 2006-2026 Drug Future. All rights reserved.Contact Us