【药物名称】Tiprostanide, EMD-33290
化学结构式(Chemical Structure):
参考文献No.66364
标题:EMD-33,290
作者:Koch, H.
来源:Drugs Fut 1983,8(7),585
合成路线图解说明:

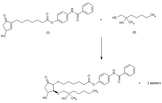
EMD-33.290 can be prepared by conjugate addition of 2-hydroxy-2-methylheptanethiol (II) to 3-hydroxy-5-oxocyclopentenylheptanoic acid p-benzamidophenyl ester (I) to give rise to the title compound as the main product (III) along with two epimers. Isolation of pure EMD-33.290 can be achieved by medium-pressure chromatography. An alternative synthesis utilizing the Roberts' approach has been reported to give the appropriate PGF2alpha analogue, which is converted to EMD-33.290 by selective oxidation.

参考文献No.800378
标题:Synthesis of EMD-33290, a new oral blood pressure lowering prostaglandin E2 analog
作者:Radunz, H.E.; Riefling, B.F.
来源:Acta Ther (Belg) 1980,6(4),58
合成路线图解说明:

EMD-33.290 can be prepared by conjugate addition of 2-hydroxy-2-methylheptanethiol (II) to 3-hydroxy-5-oxocyclopentenylheptanoic acid p-benzamidophenyl ester (I) to give rise to the title compound as the main product (III) along with two epimers. Isolation of pure EMD-33.290 can be achieved by medium-pressure chromatography. An alternative synthesis utilizing the Roberts' approach has been reported to give the appropriate PGF2alpha analogue, which is converted to EMD-33.290 by selective oxidation.

Drug Information Express,Drug R&D,Chemical Database,Patent Search.
Copyright © 2006-2026 Drug Future. All rights reserved.Contact Us