【药物名称】Idebenone, QSA-10, A-68500, CV-2619, Cerestabon, Mnesis, Avan
化学结构式(Chemical Structure):
参考文献No.46481
标题:Method of producing quinone derivatives
作者:Watanabe, M.; Imada, I. (Takeda Chemical Industries, Ltd.)
来源:EP 0058057; JP 57131735; US 4831265
合成路线图解说明:

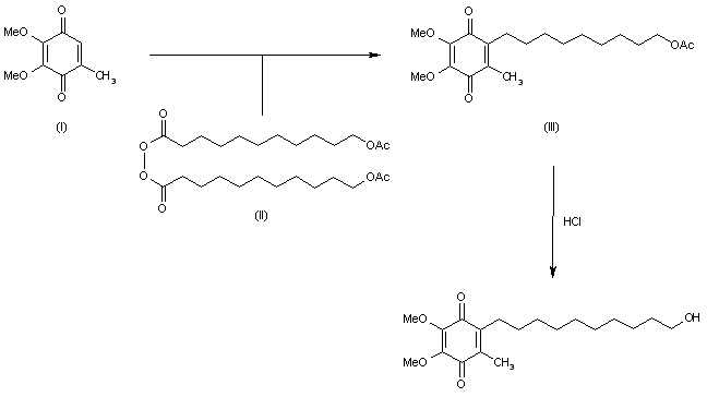
The radical alkylation of 2,3-dimethoxy-5-methylbenzoquinone (I) with bis(11-acetoxyundecanoyl)peroxide (II) at 85-90 C gives 2,3-dimethoxy-5-methyl-6-(10-acetoxydecyl)benzoquinone (III), which is hydrolyzed with concentrated HCl in methanol.

参考文献No.46498
标题:Aralkyl carboxylic acid compounds
作者:Morimoto, H.; Imada, I.; Watanabe, M.; Kawada, M. (Takeda Chemical Industries, Ltd.)
来源:BE 0828622; DE 2519730; FR 2269333; FR 2293194; JP 50148325; US 4139545; US 4525361
合成路线图解说明:

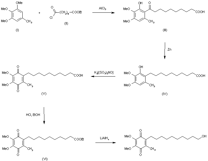
The Friedel-Kraft condensation of 3,4,5-trimethoxytoluene (I) with ethyl 9-chloroformylnonanoate (II) by means of AlCl3 in nitrobenzene gives 9-(2-hydroxy-3,4-dimethoxy-6-methylbenzoyl)nonanoic acid (III), which is reduced with Zn in refluxing aqueous HCl yielding 10-(2-hydroxy-3,4-dimethoxy-6-methylphenyl)decanoic acid (IV). The oxidation of (IV) with potassium nitrosodisulfonate in water-acetone affords 2,3-dimethoxy-5-methyl-6-(9-carboxynonyl)benzoquinone (V), which is esterified with ethanol HCl to the corresponding ethyl ester (VI). Finally, this compound is reduced with LiAlH4 in ether.

参考文献No.46499
标题:Method for therapy of ischemic disease
作者:Imada, I.; Nagaoka, A.; Hirata, M. (Takeda Chemical Industries, Ltd.)
来源:DE 3049039; EP 0031727; JP 56097223; US 4436753
合成路线图解说明:

The Friedel-Kraft condensation of 3,4,5-trimethoxytoluene (I) with ethyl 9-chloroformylnonanoate (II) by means of AlCl3 in nitrobenzene gives 9-(2-hydroxy-3,4-dimethoxy-6-methylbenzoyl)nonanoic acid (III), which is reduced with Zn in refluxing aqueous HCl yielding 10-(2-hydroxy-3,4-dimethoxy-6-methylphenyl)decanoic acid (IV). The oxidation of (IV) with potassium nitrosodisulfonate in water-acetone affords 2,3-dimethoxy-5-methyl-6-(9-carboxynonyl)benzoquinone (V), which is esterified with ethanol HCl to the corresponding ethyl ester (VI). Finally, this compound is reduced with LiAlH4 in ether.

参考文献No.49384
标题:CV-2619
作者:Serradell, M.N.; Casta馿r, J.; Blancafort, P.
来源:Drugs Fut 1983,8(7),583
合成路线图解说明:

The Friedel-Kraft condensation of 3,4,5-trimethoxytoluene (I) with ethyl 9-chloroformylnonanoate (II) by means of AlCl3 in nitrobenzene gives 9-(2-hydroxy-3,4-dimethoxy-6-methylbenzoyl)nonanoic acid (III), which is reduced with Zn in refluxing aqueous HCl yielding 10-(2-hydroxy-3,4-dimethoxy-6-methylphenyl)decanoic acid (IV). The oxidation of (IV) with potassium nitrosodisulfonate in water-acetone affords 2,3-dimethoxy-5-methyl-6-(9-carboxynonyl)benzoquinone (V), which is esterified with ethanol HCl to the corresponding ethyl ester (VI). Finally, this compound is reduced with LiAlH4 in ether.

Drug Information Express,Drug R&D,Chemical Database,Patent Search.
Copyright © 2006-2026 Drug Future. All rights reserved.Contact Us