【药物名称】Tenoxicam, Ro-120068, Liman, Tilcotil
化学结构式(Chemical Structure):
参考文献No.46775
标题:Thienothaiazine derivatives
作者:Horomatka, O.; Binder, D.; Pfister, R.; Zeller, P. (F. Hoffmann-La Roche AG)
来源:DE 2537070; FR 2303803; JP 51048694; NL 7510057
合成路线图解说明:

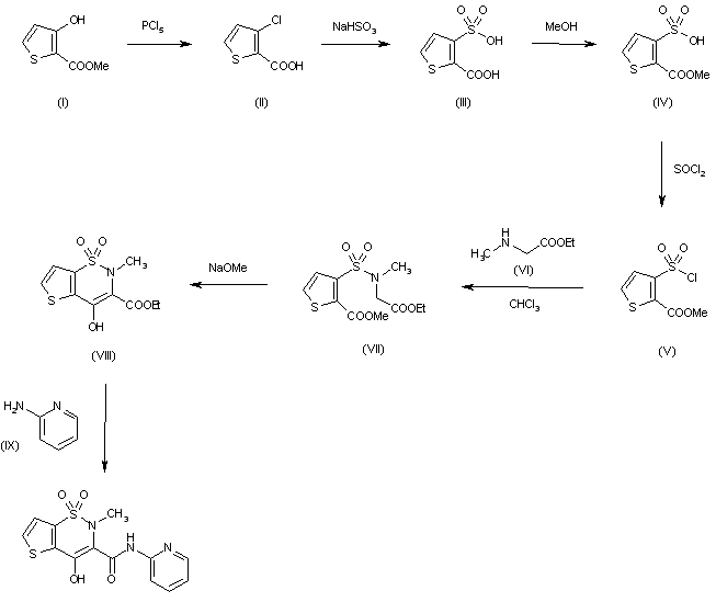
The reaction of methyl 3-hydroxythiophene-2-carboxylate (I) with PCl5 in refluxing CCl4 gives 3-chlorothiophene-2-carboxylic acid (II), which by treatment with NaHSO3 and Cu in basic water at 143 C in a pressure vessel is converted into 3-sulfothiophene-2-carboxylic acid (III). The esterification of (III) with refluxing methanol affords methyl 3-sulfothiophene-2-carboxylate (IV), which by reaction with refluxing SOCl2 yields methyl-3-chlorosulfonylthiophene-2-carboxylate (V). The condensation of (V) with sarcosine ethyl ester (VI) in hot CHCl3 gives methyl-3-(N-ethoxycarbonyl-methyl-N-methylsulfamoyl)thiophene-2-carboxylate (VII), which is cyclized by treatment with sodium methoxide in refluxing methanol affording 3-ethoxycarbonyl-4-hydroxy-2-methyl-2H-thieno-[2,3-e]-1,2-thiazine-1,1-dioxide (VIII). Finally, this compound is condensed with 2-aminopyridine (IX) in refluxing toluene.

参考文献No.49382
标题:Tenoxicam
作者:Serradell, M.N.; Blancafort, P.; Casta馿r, J.
来源:Drugs Fut 1982,7(7),493
合成路线图解说明:

The reaction of methyl 3-hydroxythiophene-2-carboxylate (I) with PCl5 in refluxing CCl4 gives 3-chlorothiophene-2-carboxylic acid (II), which by treatment with NaHSO3 and Cu in basic water at 143 C in a pressure vessel is converted into 3-sulfothiophene-2-carboxylic acid (III). The esterification of (III) with refluxing methanol affords methyl 3-sulfothiophene-2-carboxylate (IV), which by reaction with refluxing SOCl2 yields methyl-3-chlorosulfonylthiophene-2-carboxylate (V). The condensation of (V) with sarcosine ethyl ester (VI) in hot CHCl3 gives methyl-3-(N-ethoxycarbonyl-methyl-N-methylsulfamoyl)thiophene-2-carboxylate (VII), which is cyclized by treatment with sodium methoxide in refluxing methanol affording 3-ethoxycarbonyl-4-hydroxy-2-methyl-2H-thieno-[2,3-e]-1,2-thiazine-1,1-dioxide (VIII). Finally, this compound is condensed with 2-aminopyridine (IX) in refluxing toluene.

Drug Information Express,Drug R&D,Chemical Database,Patent Search.
Copyright © 2006-2026 Drug Future. All rights reserved.Contact Us