【药物名称】Brovavir, Sorivudine, BV-araU, SQ-32756, YN-72, BVAU, Bravavir, Usevir
化学结构式(Chemical Structure):
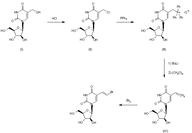
参考文献No.66370
标题:BVAU
作者:Sakata, S.; Machida, H.
来源:Drugs Fut 1982,7(7),458
合成路线图解说明:

Treatment of 5-hydroxymethyl-1-beta-D-arabinofuranosyluracil (I) with hydrogen chloride in dioxane affords the 5-chloromethyl derivative (II), which is converted to the triphenylphosphonium salt (III). The Wittig reaction of (III) by means of paraformaldehyde and n-butyllithium in DMF yields the 5-vinyl derivative (IV), and bromination of (IV) with bromine in DMF under a heated condition affords BVAU.

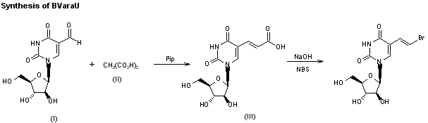
参考文献No.89892
标题:Synthesis of 14C-labelled 1-beta-D-arabinofuranosyl-E-5-(2-bromovinyl) uracil (BV-araU)
作者:Sakata, S.; Machida, H.; Kumagai, M.; Yamaguchi, T.; Ikeda, K.
来源:J Label Compd Radiopharm 1989,27(5),503
合成路线图解说明:

A new synthesis of BVAU has been described: The condensation of 1-(beta-D-arabinofuranosyl)-5-formyluracil (I) with malonic acid (II) by means of piperidine in hot anhydrous pyridine gives the carboxyvinyl derivative (III), which is then treated with N-bromosuccinimide in basic medium.

参考文献No.608356
标题:Synthesis and antiherpes-viral activity of 5-C-substituted uracil nucleosides
作者:Senda, S.; Mizuno, Y.; Shibuya, S.; Ikeda, K.; Sakata, S.; Machida, H.; Hirota, K.; Yoshino, H.
来源:Nucleic Acids Res Symp Ser 1980,8(8),S39-S42
合成路线图解说明:

Treatment of 5-hydroxymethyl-1-beta-D-arabinofuranosyluracil (I) with hydrogen chloride in dioxane affords the 5-chloromethyl derivative (II), which is converted to the triphenylphosphonium salt (III). The Wittig reaction of (III) by means of paraformaldehyde and n-butyllithium in DMF yields the 5-vinyl derivative (IV), and bromination of (IV) with bromine in DMF under a heated condition affords BVAU.

Drug Information Express,Drug R&D,Chemical Database,Patent Search.
Copyright © 2006-2026 Drug Future. All rights reserved.Contact Us