【药物名称】Teniloxazine maleate, Sulfoxazine maleate, Y-8894, Luceran, Metatone
化学结构式(Chemical Structure):
参考文献No.49378
标题:Y-8894
作者:Serradell, M.N.; Blancafort, P.; Casta馿r, J.
来源:Drugs Fut 1981,6(7),423
合成路线图解说明:

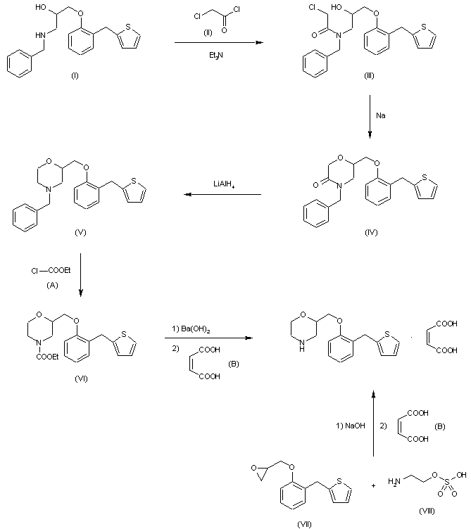
This compound can be obtained in two different ways: 1) The acylation of 1-benzylamino-3-[2-(2-thenyl)phenoxy]-2-propanol (I) with chloroacetyl chloride (II) by means of triethylamine in CHCl3 gives N-[2-hydroxy-3-[2-(2-thenyl)phenoxy)propyl]-N-benzylchloroacetamide (III), which is cyclized by treatment with sodium methoxide in refluxing methanol yielding N-benzyl-2-[2-(2-thenyl)phenoxymethyl]morpholin-5-one (IV). The reduction of (IV) with LiAlH4 in refluxing ether affords N-benzyl-2-[2-(2-thenyl)phenoxymethyl]morpholine (V), which is debenzylated by treatment with ethyl chlorotormate (A) in refluxing toluene giving N-ethoxycarbonyl-2-[2-(2-thenyl)phenoxymethyl]morpholine (VI). Finally, this compound is decarboxylated by treatment with barium hydroxide in refluxing water and treated with maleic acid (B). 2) By cyclization of 1-[2-(2-thenyl)phenoxy]-2,3-epoxypropane (VII) with 2-aminoethyl hydrogen sulfate (VIII) by means of NaOH in refluxing water. Finally, the resulting compound is treated with maleic acid (B).

参考文献No.701496
标题:
作者:Muro, T.; et al.
来源:US 4005084
合成路线图解说明:

This compound can be obtained in two different ways: 1) The acylation of 1-benzylamino-3-[2-(2-thenyl)phenoxy]-2-propanol (I) with chloroacetyl chloride (II) by means of triethylamine in CHCl3 gives N-[2-hydroxy-3-[2-(2-thenyl)phenoxy)propyl]-N-benzylchloroacetamide (III), which is cyclized by treatment with sodium methoxide in refluxing methanol yielding N-benzyl-2-[2-(2-thenyl)phenoxymethyl]morpholin-5-one (IV). The reduction of (IV) with LiAlH4 in refluxing ether affords N-benzyl-2-[2-(2-thenyl)phenoxymethyl]morpholine (V), which is debenzylated by treatment with ethyl chlorotormate (A) in refluxing toluene giving N-ethoxycarbonyl-2-[2-(2-thenyl)phenoxymethyl]morpholine (VI). Finally, this compound is decarboxylated by treatment with barium hydroxide in refluxing water and treated with maleic acid (B). 2) By cyclization of 1-[2-(2-thenyl)phenoxy]-2,3-epoxypropane (VII) with 2-aminoethyl hydrogen sulfate (VIII) by means of NaOH in refluxing water. Finally, the resulting compound is treated with maleic acid (B).

参考文献No.701497
标题:
作者:Fukuzawa, S.; et al.
来源:JP 76131883
合成路线图解说明:

This compound can be obtained in two different ways: 1) The acylation of 1-benzylamino-3-[2-(2-thenyl)phenoxy]-2-propanol (I) with chloroacetyl chloride (II) by means of triethylamine in CHCl3 gives N-[2-hydroxy-3-[2-(2-thenyl)phenoxy)propyl]-N-benzylchloroacetamide (III), which is cyclized by treatment with sodium methoxide in refluxing methanol yielding N-benzyl-2-[2-(2-thenyl)phenoxymethyl]morpholin-5-one (IV). The reduction of (IV) with LiAlH4 in refluxing ether affords N-benzyl-2-[2-(2-thenyl)phenoxymethyl]morpholine (V), which is debenzylated by treatment with ethyl chlorotormate (A) in refluxing toluene giving N-ethoxycarbonyl-2-[2-(2-thenyl)phenoxymethyl]morpholine (VI). Finally, this compound is decarboxylated by treatment with barium hydroxide in refluxing water and treated with maleic acid (B). 2) By cyclization of 1-[2-(2-thenyl)phenoxy]-2,3-epoxypropane (VII) with 2-aminoethyl hydrogen sulfate (VIII) by means of NaOH in refluxing water. Finally, the resulting compound is treated with maleic acid (B).

Drug Information Express,Drug R&D,Chemical Database,Patent Search.
Copyright © 2006-2026 Drug Future. All rights reserved.Contact Us