【药物名称】Bucindolol hydrochloride, MJ-13105-1
化学结构式(Chemical Structure):
参考文献No.66372
标题:Bucindolol Hydrochloride
作者:Weetman, D.F.; Casta馿r, J.
来源:Drugs Fut 1981,6(7),405
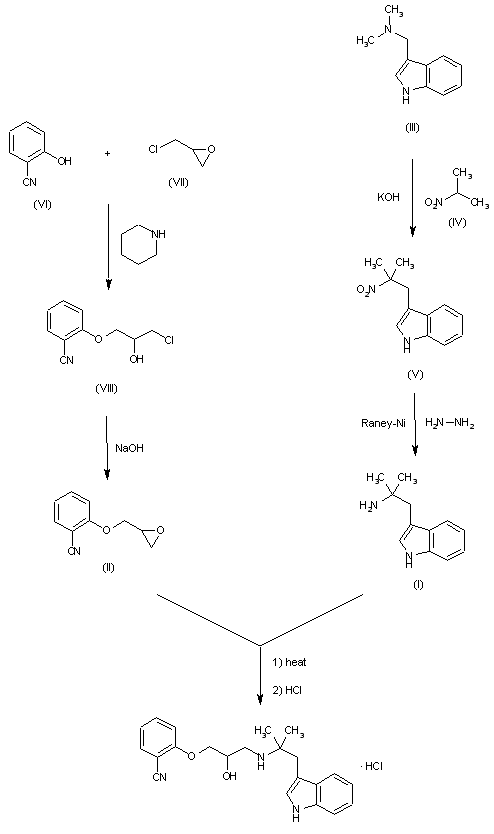
合成路线图解说明:

By reaction of 3-(2-methyl-2-aminopropyl)indole (I) and 2-(2,3-epoxypropoxy)benzonitrile (II) by heating at 120-40 C followed by a treatment with HCl in ethanol. The starting products are obtained as follows: 1) The reaction of 3-(dimethylaminomethyl)indole (III) with 2-nitropropane (IV) by means of KOH gives 3-(2-methyl-2-nitropropyl)indole (V), which is then reduced with hydrazine and Raney-Ni in ethanol to yield (I). 2) The reaction of 2-hydroxybenzonitrile (VI) with epichlorohydrin (VII) by means of piperidine affords 2-(3-chloro-2-hydroxypropoxy)benzonitrile (VIII), which is epoxidized again to (II) by treatment with NaOH in hot THF-water.

参考文献No.607203
标题:Antihypertensive indole derivatives of phenoxypropanolamines with beta-adrenergic receptor antagonist and vasodilating activity
作者:Kreighbaum, W.E.; Matier, W.L.; Dennis, R.D.; Minielli, J.L.; Deitchman, D.; Perhach, J.L.Jr.; Comer, W.T.
来源:J Med Chem 1980,23(3),285-289
合成路线图解说明:

By reaction of 3-(2-methyl-2-aminopropyl)indole (I) and 2-(2,3-epoxypropoxy)benzonitrile (II) by heating at 120-40 C followed by a treatment with HCl in ethanol. The starting products are obtained as follows: 1) The reaction of 3-(dimethylaminomethyl)indole (III) with 2-nitropropane (IV) by means of KOH gives 3-(2-methyl-2-nitropropyl)indole (V), which is then reduced with hydrazine and Raney-Ni in ethanol to yield (I). 2) The reaction of 2-hydroxybenzonitrile (VI) with epichlorohydrin (VII) by means of piperidine affords 2-(3-chloro-2-hydroxypropoxy)benzonitrile (VIII), which is epoxidized again to (II) by treatment with NaOH in hot THF-water.

Drug Information Express,Drug R&D,Chemical Database,Patent Search.
Copyright © 2006-2026 Drug Future. All rights reserved.Contact Us