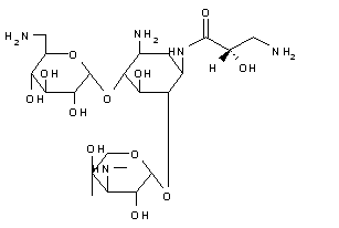
【药物名称】Isepamicin, HAPA-B, Sch-21420, Isepalline, Isepacin
化学结构式(Chemical Structure):
参考文献No.47030
标题:Novel pseudotrisaccharides and methods for their production
作者:Daniels, P.J.L.; Testa, R.; Tattanahalli, L.; Mallams, A.K.; Wright, J.J.; Weinstein, M.J.; Wagman, G.H. (Schering Corp.)
来源:DE 2437160; FR 2240015; GB 1473733; US 4029882
合成路线图解说明:

By alkylation of sisomicin (I) with acetaldehyde (II) and sodium cyanoborohydride in water with some sulfuric acid.

合成路线图解说明:

The reaction of gentamicin B sulfate (betamicin sulfate) (I) with N-(S-3-benzyloxycarbonylamino)-2-hydroxypropionylsuccinimide (II) by means of triethylamine in water-methanol-DMF gives 1-N-(S-3-benzyloxycarbonylamino-2-hydropropionyl)betamicin (III), which is finally hydrogenated with H2 over Pd/C in methanol-water.

参考文献No.66405
标题:SCH-21420
作者:Serradell, M.N.; Blancafort, P.; Roberts, P.J.; Casta馿r, J.
来源:Drugs Fut 1979,4(7),525
合成路线图解说明:

The reaction of gentamicin B sulfate (betamicin sulfate) (I) with N-(S-3-benzyloxycarbonylamino)-2-hydroxypropionylsuccinimide (II) by means of triethylamine in water-methanol-DMF gives 1-N-(S-3-benzyloxycarbonylamino-2-hydropropionyl)betamicin (III), which is finally hydrogenated with H2 over Pd/C in methanol-water.

Drug Information Express,Drug R&D,Chemical Database,Patent Search.
Copyright © 2006-2026 Drug Future. All rights reserved.Contact Us