【药物名称】Nufenoxole, Sc-27166
化学结构式(Chemical Structure):
参考文献No.47598
标题:1,1-Diaryl-1-oxadiazolalkylamines
作者:Adelstein, G.W. (Pharmacia Corp.)
来源:DE 2514183; DE 2514229; FR 2265367; FR 2265376; GB 1456943; GB 1494943; JP 50135081; JP 50135086; US 3917615
合成路线图解说明:

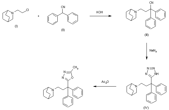
The reaction of N-(2-chloroethyl)-2-azabicyclo[2.2.2]octane (I) with diphenylacetonitrile (II) by means of KOH in refluxing methyl ethyl ketone gives 4-[2-azabicyclo[2.2.2]octan-2-yl]-2,2-diphenylbutyronitrile (III), which by reaction with NaN3 in DMF at 125 C is converted into 5-[1,1-diphenyl-3-(2-azabicyclo[2.2.2]octan-2-yl)propyl]-1H-tetrazole (IV). Finally, this compound is treated with refluxing acetic anhydride.

参考文献No.68097
标题:Nufenoxole
作者:Casta馿r, J.; Hillier, K.
来源:Drugs Fut 1978,3(7),533
合成路线图解说明:

The reaction of N-(2-chloroethyl)-2-azabicyclo[2.2.2]octane (I) with diphenylacetonitrile (II) by means of KOH in refluxing methyl ethyl ketone gives 4-[2-azabicyclo[2.2.2]octan-2-yl]-2,2-diphenylbutyronitrile (III), which by reaction with NaN3 in DMF at 125 C is converted into 5-[1,1-diphenyl-3-(2-azabicyclo[2.2.2]octan-2-yl)propyl]-1H-tetrazole (IV). Finally, this compound is treated with refluxing acetic anhydride.

参考文献No.607174
标题:3,3-Diphenyl-3-(2-alkyl-1,3,4-ozadiazol-5-yl)propylcycloalkylamine, a novel series of antidiarrheal agents
作者:Adelstein, G.W.; Yen, C.H.; Dajani, E.Z.; Bianchi, R.G.
来源:J Med Chem 1976,19(10),1221-25
合成路线图解说明:

The reaction of N-(2-chloroethyl)-2-azabicyclo[2.2.2]octane (I) with diphenylacetonitrile (II) by means of KOH in refluxing methyl ethyl ketone gives 4-[2-azabicyclo[2.2.2]octan-2-yl]-2,2-diphenylbutyronitrile (III), which by reaction with NaN3 in DMF at 125 C is converted into 5-[1,1-diphenyl-3-(2-azabicyclo[2.2.2]octan-2-yl)propyl]-1H-tetrazole (IV). Finally, this compound is treated with refluxing acetic anhydride.

Drug Information Express,Drug R&D,Chemical Database,Patent Search.
Copyright © 2006-2026 Drug Future. All rights reserved.Contact Us