【药物名称】Sarpicillin, BL-P1761
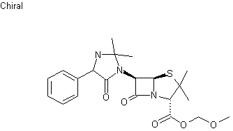
化学结构式(Chemical Structure):
参考文献No.47812
标题:Antibacterial agents
作者:Sleezer, P.D.; Johnson, D.A. (Bristol-Myers Squibb Co.)
来源:DE 2244915; ES 406644; FR 2154488; GB 1400584; JP 48036186
合成路线图解说明:

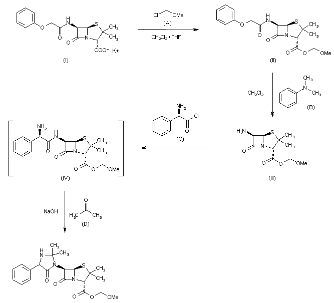
The esterification of potassium phenoxymethylpenicillanate (I) with chloromethyl methyl ether (A) in methylene chloride-THF gives the methoxymethyl ester of penicilline V (II), which is then treated with dimethylaniline (B) in CH2Cl2 to afford methoxymethyl 6-aminopenicillanate (III). Finally, this product is condensed with phenylglycyl chloride (C) hydrochloride and acetone (D) by means of NaOH.

参考文献No.68121
标题:Sarpicillin
作者:Playle, A.C.; Casta馿r, J.
来源:Drugs Fut 1977,2(7),478
合成路线图解说明:

The esterification of potassium phenoxymethylpenicillanate (I) with chloromethyl methyl ether (A) in methylene chloride-THF gives the methoxymethyl ester of penicilline V (II), which is then treated with dimethylaniline (B) in CH2Cl2 to afford methoxymethyl 6-aminopenicillanate (III). Finally, this product is condensed with phenylglycyl chloride (C) hydrochloride and acetone (D) by means of NaOH.

Drug Information Express,Drug R&D,Chemical Database,Patent Search.
Copyright © 2006-2026 Drug Future. All rights reserved.Contact Us