【药物名称】Centchroman, Ormeloxifene, 6720-CDRI, Centron, Saheli, Choice 7
化学结构式(Chemical Structure):
参考文献No.66376
标题:Centchroman
作者:Casta馿r, J.; Hillier, K.
来源:Drugs Fut 1977,2(7),441
合成路线图解说明:

The Grignard reaction of cis-3-phenyl-4-p-acetoxyphenyl-7-methoxy-3,4-dihydrocoumarin (I) with methylmagnesium iodide (A) in THF gives erythro-2-methyl-3-phenyl4-(p-hydroxyphenyl)-4-(2-hydroxy-4-methoxyphenyl)-4-(2-hydroxy-4-methoxyphenyl)butan-2-ol (II), which is cyclized with PPA at 75-80 C yielding cis-2,2-dimethyl-3phenyl-4-p-hydroxyphenyl-7-methoxychroman (III). This compound can also be obtained by hydrogenation of 2,2-dimethyl-4-p-hydroxyphenyl-3-phenyl-7-methoxychromene (IV) with H2 over Pd/C in THF. The condensation of (III) with N-(2-chloroethyl)pyrrolidine (B) by means of K2CO3 in refluxing acetone affords 3,4-cis-2,2-dimethyl-3-phenyl-4-[p-(beta-pyrrolidinoethoxy)phenyl]-7-methoxychromane (V), which is finally isomerized with n-butyllithium in DMSO.

合成路线图解说明:

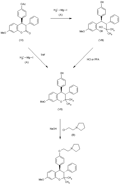
The Grignard reaction of trans-3-phenyl-4-p-acetoxyphenyl-7-methoxy-3,4-dihydrocoumarin (VI) with methylmagnesium iodide (A) in THF gives a mixture of cis-2,2-dimethyl-3-phenyl-4-p-hydroxy-phenyl-7-methoxychromane (VII) and threo-2-methyl-3-phenyl-4-(p-hydroxyphenyl)-4-(2-hydroxy-4-methoxyphenyl)butan-2-ol (VIII), which can be cyclized to (VII) with PPA at 75-80 C. Finally, (VII) is condensed with N-(2-chloroethyl)-pyrrolidine (B) by means of K2CO3 in refluxing acetone.

参考文献No.607171
标题:Antifertility agents. 12. Structure-activity relationship of 3,4-diphenylchromenes and -chromans
作者:Ray, S.; Grover, P.K.; Kamboj, V.P.; Setty, B.S.; Kar, A.B.; Anand, N.
来源:J Med Chem 1976,19(2),276-279
合成路线图解说明:

The Grignard reaction of cis-3-phenyl-4-p-acetoxyphenyl-7-methoxy-3,4-dihydrocoumarin (I) with methylmagnesium iodide (A) in THF gives erythro-2-methyl-3-phenyl4-(p-hydroxyphenyl)-4-(2-hydroxy-4-methoxyphenyl)-4-(2-hydroxy-4-methoxyphenyl)butan-2-ol (II), which is cyclized with PPA at 75-80 C yielding cis-2,2-dimethyl-3phenyl-4-p-hydroxyphenyl-7-methoxychroman (III). This compound can also be obtained by hydrogenation of 2,2-dimethyl-4-p-hydroxyphenyl-3-phenyl-7-methoxychromene (IV) with H2 over Pd/C in THF. The condensation of (III) with N-(2-chloroethyl)pyrrolidine (B) by means of K2CO3 in refluxing acetone affords 3,4-cis-2,2-dimethyl-3-phenyl-4-[p-(beta-pyrrolidinoethoxy)phenyl]-7-methoxychromane (V), which is finally isomerized with n-butyllithium in DMSO.

合成路线图解说明:

The Grignard reaction of trans-3-phenyl-4-p-acetoxyphenyl-7-methoxy-3,4-dihydrocoumarin (VI) with methylmagnesium iodide (A) in THF gives a mixture of cis-2,2-dimethyl-3-phenyl-4-p-hydroxy-phenyl-7-methoxychromane (VII) and threo-2-methyl-3-phenyl-4-(p-hydroxyphenyl)-4-(2-hydroxy-4-methoxyphenyl)butan-2-ol (VIII), which can be cyclized to (VII) with PPA at 75-80 C. Finally, (VII) is condensed with N-(2-chloroethyl)-pyrrolidine (B) by means of K2CO3 in refluxing acetone.

参考文献No.701102
标题:Proc閐?de pr閜aration de 3,4-(diph閚yl)-chromanes substitu閟
作者:Bolger, J.W.
来源:DE 2329201; FR 2187777
合成路线图解说明:

The Grignard reaction of cis-3-phenyl-4-p-acetoxyphenyl-7-methoxy-3,4-dihydrocoumarin (I) with methylmagnesium iodide (A) in THF gives erythro-2-methyl-3-phenyl4-(p-hydroxyphenyl)-4-(2-hydroxy-4-methoxyphenyl)-4-(2-hydroxy-4-methoxyphenyl)butan-2-ol (II), which is cyclized with PPA at 75-80 C yielding cis-2,2-dimethyl-3phenyl-4-p-hydroxyphenyl-7-methoxychroman (III). This compound can also be obtained by hydrogenation of 2,2-dimethyl-4-p-hydroxyphenyl-3-phenyl-7-methoxychromene (IV) with H2 over Pd/C in THF. The condensation of (III) with N-(2-chloroethyl)pyrrolidine (B) by means of K2CO3 in refluxing acetone affords 3,4-cis-2,2-dimethyl-3-phenyl-4-[p-(beta-pyrrolidinoethoxy)phenyl]-7-methoxychromane (V), which is finally isomerized with n-butyllithium in DMSO.

参考文献No.701103
标题:Process for preparation of substituted 3,4-(diphenyl)chromans
作者:Bolger, J.W.
来源:US 3822287
合成路线图解说明:

The Grignard reaction of cis-3-phenyl-4-p-acetoxyphenyl-7-methoxy-3,4-dihydrocoumarin (I) with methylmagnesium iodide (A) in THF gives erythro-2-methyl-3-phenyl4-(p-hydroxyphenyl)-4-(2-hydroxy-4-methoxyphenyl)-4-(2-hydroxy-4-methoxyphenyl)butan-2-ol (II), which is cyclized with PPA at 75-80 C yielding cis-2,2-dimethyl-3phenyl-4-p-hydroxyphenyl-7-methoxychroman (III). This compound can also be obtained by hydrogenation of 2,2-dimethyl-4-p-hydroxyphenyl-3-phenyl-7-methoxychromene (IV) with H2 over Pd/C in THF. The condensation of (III) with N-(2-chloroethyl)pyrrolidine (B) by means of K2CO3 in refluxing acetone affords 3,4-cis-2,2-dimethyl-3-phenyl-4-[p-(beta-pyrrolidinoethoxy)phenyl]-7-methoxychromane (V), which is finally isomerized with n-butyllithium in DMSO.

Drug Information Express,Drug R&D,Chemical Database,Patent Search.
Copyright © 2006-2026 Drug Future. All rights reserved.Contact Us