【药物名称】Alnovin, Fendosal, P 71-0129, HP-129
化学结构式(Chemical Structure):
参考文献No.68110
标题:Fendosal
作者:Casta馿r, J.; Arrigoni-Martelli, E.
来源:Drugs Fut 1976,1(7),320
合成路线图解说明:

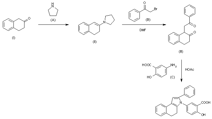
The reaction of beta-tetralone (I) with pyrrolidine (A) yields enamine (II), which is condensed with phenacyl bromide (B) in DMF to give the 1-phenacyl-2-tetralone (III). Finally, this diketone is cyclized with 5-aminosalycilic acid (C) in refluxing acetic acid.

参考文献No.607175
标题:Carboxyarylindoles as non steroidal anti-inflammatory agents
作者:Anderson, V.B.; Agnew, M.N.; Allen, R.C.; Wilker, J.C.; Lassman, H.B.; Novick, W.J. Jr.
来源:J Med Chem 1976,1(7),320
合成路线图解说明:

The reaction of beta-tetralone (I) with pyrrolidine (A) yields enamine (II), which is condensed with phenacyl bromide (B) in DMF to give the 1-phenacyl-2-tetralone (III). Finally, this diketone is cyclized with 5-aminosalycilic acid (C) in refluxing acetic acid.

Drug Information Express,Drug R&D,Chemical Database,Patent Search.
Copyright © 2006-2026 Drug Future. All rights reserved.Contact Us