【药物名称】Terbinafine hydrochloride, SF-86327, Lamisil AT, Daskil, Afogan, Lamisil
化学结构式(Chemical Structure):
参考文献No.46483
标题:Propenylamines, pharmaceutical compositions containing them and their use as pharmaceuticals
作者:St黷z, A. (Novartis AG)
来源:EP 0024587; JP 56032440; JP 63313753; Us 4755534
合成路线图解说明:

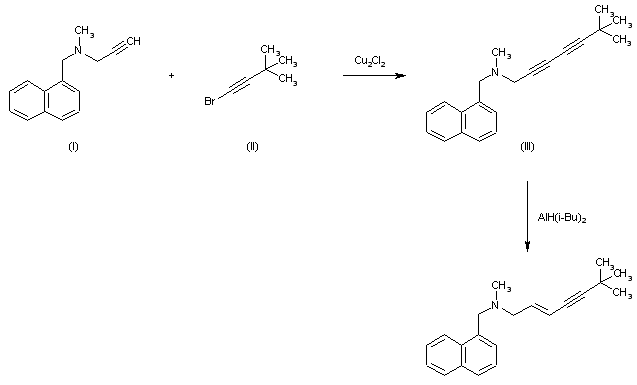
The condensation of N-methyl-N-(1-naphthylmethyl)propargylamine (I) with 1-bromo-2-tert-butylacetylene (II) by means of Cu2Cl2 gives N-methyl-N-(1-naphthylmethyl)-6,6-dimethylhept-2,4-diynylamine (III), which is then reduced selectively with diisobutylaluminurn hydride in toluene.

合成路线图解说明:

By reductocondensation of amino (IV) with 6,6-dimethylhept-2-en-4-ynal (VI) by means of NaBH4 in methanol.

合成路线图解说明:

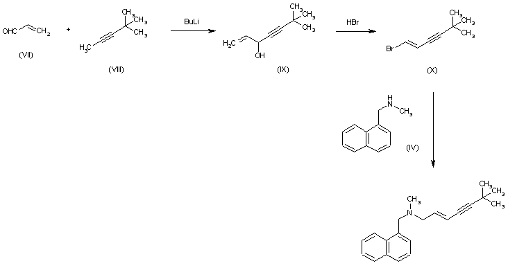
The condensation of propenal (VII) with tert-butylacetylene (VIII) by means of butyllithium gives 6,6-dimethylhept-1-en-4-yn-3-ol (IX), which is rearranged with HBr to the allyl isomer 6,6-dimethylhept-2-en-4-yn-1-yl bromide (X). Finally, this compound is condensed with amine (IV) by means of Na2CO3 in DMF.

合成路线图解说明:

Addition of formaldehyde to benzothiophene-2-sulfonamide (I), followed by condensation with trimethyl phosphite, furnished the dimethyl (sulfonamidomethyl)phosphonate (II). The phosphonate ester function of (II) was then hydrolyzed by means of bromotrimethylsilane, producing phosphonic acid (III). This was finally coupled to 2-fluoro-4-nitrophenol (IV) using trichloroacetonitrile in hot pyridine to afford the title mono-phosphonate ester.

参考文献No.67116
标题:SF-86327
作者:Serradell, M.N.; Casta馿r, J.
来源:Drugs Fut 1984,9(6),425
合成路线图解说明:

The condensation of N-methyl-N-(1-naphthylmethyl)propargylamine (I) with 1-bromo-2-tert-butylacetylene (II) by means of Cu2Cl2 gives N-methyl-N-(1-naphthylmethyl)-6,6-dimethylhept-2,4-diynylamine (III), which is then reduced selectively with diisobutylaluminurn hydride in toluene.

合成路线图解说明:

The condensation of N-(1-naphthylmethyl)methylamine (IV) with formaldehyde and 5,5-dimethylhexadiine (V) by means of Cu2Cl2 also gives (III), which is then reduced selectively with diisobutylaluminum hydride in toluene.

合成路线图解说明:

By reductocondensation of amino (IV) with 6,6-dimethylhept-2-en-4-ynal (VI) by means of NaBH4 in methanol.

合成路线图解说明:

The condensation of propenal (VII) with tert-butylacetylene (VIII) by means of butyllithium gives 6,6-dimethylhept-1-en-4-yn-3-ol (IX), which is rearranged with HBr to the allyl isomer 6,6-dimethylhept-2-en-4-yn-1-yl bromide (X). Finally, this compound is condensed with amine (IV) by means of Na2CO3 in DMF.

参考文献No.102672
标题:Carbon-14 labelling of terbinafine, an antimycotic agent
作者:Andres, H.
来源:J Label Compd Radiopharm 1989,27(11),1307
合成路线图解说明:

1) The Grignard reaction of 1-bromonaphthalene (I) with Mg in THF and then with [14C]-labeled CO2 gives the corresponding 1-naphthoic acid (II), which by reaction with SO2Cl2 and then with methylamine yields [14C]-N-methyl-1-naphthalenecarboxamide (III). The reduction of (III) with LiAlH4 in refluxing THF affords the corresponding amine (IV). Finally, this compound is condensed with 1-bromo-6,6-dimethylhept-2-en-4-yne (V) by means of Na2CO3 in DMF, and treated with ethanolic HCl.

合成路线图解说明:

2) By condensation of (E)-N-methyl-N-(1-naphthylmethyl)-N-(pent-2-en-4-ynyl)amine (I) with [14C]-tert-butyl-chloride (II) by means of butyllithium and diethylaluminum chloride in hexane-dichloromethane.

参考文献No.583055
标题:A stereoselective synthesis of (E)-1-halo-6,6-dimethyl-2-hepten-4-yne: A key intermediate for terbinafine
作者:Chou, S.Y.; et al.
来源:Tetrahedron Lett 2000,41(20),3895
合成路线图解说明:

The rearrangement of 6,6-dimethylhept-1-en-4-yn-3-ol (I) (scheme 09027805a, intermediate (IX)) to 1-bromo-6,6-dimethylhept-2(E)-en-4-yne (scheme 09027805a, intermediate (X)) with HBr reports a stereoselectivity E/Z of only 3/1. An exhaustive study of this halogenation/rearrangement reaction has been performed. This reaction ((I) to chloride (II)) has been improved up to and E/Z ratio of 9/1 with reaction yields of 95%, the reaction conditions being BCl3 (1.25 molar ratio) in hexane, with a reaction temperature of 25 C.

参考文献No.600284
标题:Efficient coupling reactions of lithium alkynyl(triisopropoxy)borates with aryl halides: Application to the antifungal terbinafine synthesis
作者:Oh, C.H.; Jung, S.H.
来源:Tetrahedron Lett 2000,41(44),8513
合成路线图解说明:

A new method for the short preparation of terbinafine has been described: Condensation of (E)-N-(3-bromoallyl)-N-methyl-N-(1-naphthyl)amine (I) with lithium tert-butylethynyl(triisopropoxy)borate (II) by means of Pd(PPh3)4, and CuI in hot DMF.

参考文献No.800092
标题:SF-86327 and related compounds: Synthetic methods
作者:St黷z, A.
来源:Int Con Chemother 1983,1165-8
合成路线图解说明:

The condensation of N-methyl-N-(1-naphthylmethyl)propargylamine (I) with 1-bromo-2-tert-butylacetylene (II) by means of Cu2Cl2 gives N-methyl-N-(1-naphthylmethyl)-6,6-dimethylhept-2,4-diynylamine (III), which is then reduced selectively with diisobutylaluminurn hydride in toluene.

合成路线图解说明:

The condensation of N-(1-naphthylmethyl)methylamine (IV) with formaldehyde and 5,5-dimethylhexadiine (V) by means of Cu2Cl2 also gives (III), which is then reduced selectively with diisobutylaluminum hydride in toluene.

合成路线图解说明:

The condensation of propenal (VII) with tert-butylacetylene (VIII) by means of butyllithium gives 6,6-dimethylhept-1-en-4-yn-3-ol (IX), which is rearranged with HBr to the allyl isomer 6,6-dimethylhept-2-en-4-yn-1-yl bromide (X). Finally, this compound is condensed with amine (IV) by means of Na2CO3 in DMF.

Drug Information Express,Drug R&D,Chemical Database,Patent Search.
Copyright © 2006-2026 Drug Future. All rights reserved.Contact Us