【药物名称】Gabapentin, DDS-2003, Goe-3450, CI-945, Neurontin
化学结构式(Chemical Structure):
参考文献No.46048
标题:Cyclic aminoacids
作者:Satzinger, G.; Hartenstein, J.; Herrmann, M.; Heldt, W. (Pfizer Inc.)
来源:DE 2460891; ES 443723; FR 2294697; GB 1465229; JP 51088940; US 4024175
合成路线图解说明:

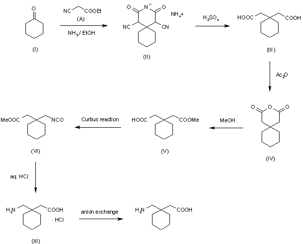
Reaction of cyclohexenone (I) with ethyl cyanoacetate (A) in the presence of ammonia affords the Guareschi salt (II), which is hydrolyzed and decarboxylated to give 1,1-cyclohexanediacetic acid (III). The anhydride (IV) can be treated either with methanol to yield the halfester (V), or with hydroxylamine to afford the N-hydroxyimide (VII). The halfester (V) is subjected to a Curtius type rearrangement to give the isocyanate (VI), which is hydrolyzed to the amino acid hydrochloride (Xl).

合成路线图解说明:

The same product can be obtained from reaction of cyclohexenone (I) with ethyl cyanoacetate (A) in the presence of ammonia affords the Guareschi salt (II), which is hydrolyzed and decarboxylated to give 1,1-cyclohexanediacetic acid (III). The anhydride (IV) can be treated with the N-hydroxyimide (VII) via a Lossen type rearrangement by conversion of (VII) to N-benzenesulfonyloxylmide (VIII) and subsequent reaction with triethylamine in methanol followed by hydrolysis of the urethanester (IX). The free amino acid is finally obtained from the hydrochloride (X) via anion exchange.

参考文献No.46049
标题:Cyclic sulphonyloxyimides
作者:Satzinger, G.; Hartenstein, J. (Pfizer Inc.)
来源:DE 2611690; ES 457050; FR 2344540; GB 1575709; JP 52113977; US 4152326
合成路线图解说明:

Reaction of cyclohexenone (I) with ethyl cyanoacetate (A) in the presence of ammonia affords the Guareschi salt (II), which is hydrolyzed and decarboxylated to give 1,1-cyclohexanediacetic acid (III). The anhydride (IV) can be treated either with methanol to yield the halfester (V), or with hydroxylamine to afford the N-hydroxyimide (VII). The halfester (V) is subjected to a Curtius type rearrangement to give the isocyanate (VI), which is hydrolyzed to the amino acid hydrochloride (Xl).

合成路线图解说明:

The same product can be obtained from reaction of cyclohexenone (I) with ethyl cyanoacetate (A) in the presence of ammonia affords the Guareschi salt (II), which is hydrolyzed and decarboxylated to give 1,1-cyclohexanediacetic acid (III). The anhydride (IV) can be treated with the N-hydroxyimide (VII) via a Lossen type rearrangement by conversion of (VII) to N-benzenesulfonyloxylmide (VIII) and subsequent reaction with triethylamine in methanol followed by hydrolysis of the urethanester (IX). The free amino acid is finally obtained from the hydrochloride (X) via anion exchange.

参考文献No.67203
标题:Gabapentin
作者:Casta馿r, J.; Serradell, M.N.
来源:Drugs Fut 1984,9(6),418
合成路线图解说明:

Reaction of cyclohexenone (I) with ethyl cyanoacetate (A) in the presence of ammonia affords the Guareschi salt (II), which is hydrolyzed and decarboxylated to give 1,1-cyclohexanediacetic acid (III). The anhydride (IV) can be treated either with methanol to yield the halfester (V), or with hydroxylamine to afford the N-hydroxyimide (VII). The halfester (V) is subjected to a Curtius type rearrangement to give the isocyanate (VI), which is hydrolyzed to the amino acid hydrochloride (Xl).

合成路线图解说明:

The same product can be obtained from reaction of cyclohexenone (I) with ethyl cyanoacetate (A) in the presence of ammonia affords the Guareschi salt (II), which is hydrolyzed and decarboxylated to give 1,1-cyclohexanediacetic acid (III). The anhydride (IV) can be treated with the N-hydroxyimide (VII) via a Lossen type rearrangement by conversion of (VII) to N-benzenesulfonyloxylmide (VIII) and subsequent reaction with triethylamine in methanol followed by hydrolysis of the urethanester (IX). The free amino acid is finally obtained from the hydrochloride (X) via anion exchange.

Drug Information Express,Drug R&D,Chemical Database,Patent Search.
Copyright © 2006-2026 Drug Future. All rights reserved.Contact Us