【药物名称】Carocainide hydrochloride, MD-770207
化学结构式(Chemical Structure):
参考文献No.67149
标题:Carocainide Hydrochloride
作者:Ancher, J.F.
来源:Drugs Fut 1984,9(6),410
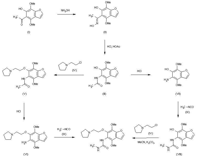
合成路线图解说明:

The reaction of khellinone (I) with hydroxylamine in refluxing ethanol gives the corresponding oxime (II), which undergoes the Beckmann rearrangement in a saturated solution of gaseous HCl in acetic acid to afford the acetamido compound (III). Treatment of (III) with gaseous HCl in ethanol under reflux yields an aminophenol (VII), which is first reacted with methyl isocyanate (IX) in chloroform, then O-alkylated by pyrrolidinoethyl chloride (IV) in refluxing acetonitrile in the presence of K2CO3 to give carocainide as the free base. Alternatively, (III) can be alkylated by pyrrolidinoethyl chloride (IV), then refluxed in aqueous 2N HCl and the resulting amino compound (VI) reacted with methyl isocyanate (IX) in dry toluene. The hydrochloride can be prepared by treatment of the free base with HCl in methylene chloride-chlorotene.

Drug Information Express,Drug R&D,Chemical Database,Patent Search.
Copyright © 2006-2026 Drug Future. All rights reserved.Contact Us