【药物名称】Tifluadom, KC-5103
化学结构式(Chemical Structure):
参考文献No.47214
标题:2-Acylaminomethyl-1,4-benzodiazepine derivs. and their salts and pharmaceutical compsns. thereof
作者:Zeugner, H.; R鰉er, D.; Liepmann, H.; Milkowski, W. (Kali-Chemie AG)
来源:US 4325957
合成路线图解说明:

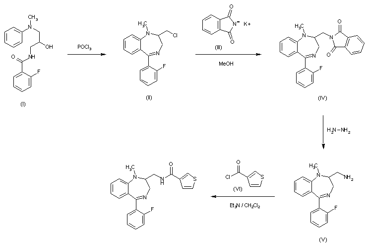
The cyclization of N1-(2-fluorobenzoyl)-N2-methyl-N2-phenyl-2-hydroxy-1,3-diaminopropane (I) with refluxing POCl3 gives 1-methyl-2-chloromethyl-5-(2-fluorophenyl)-1H-2,3-dihydro-1,4-benzodiazepine (II), which by condensation with potassium phthalimide (III) in refluxing methanol yields the corresponding phthalimido derivative (IV). The cleavage of (IV) with hydrazine in refluxing ethanol affords 1-methyl-2-aminomethyl-5-(2-fluorophenyl)-1H-2,3-dihydro-1,4-benzodiazepine (V), which is finally condensed with thiophene-3-carbonyl chloride (VI) by means of triethylamine in methylene chloride.

参考文献No.67122
标题:Tifluadom
作者:Serradell, M.N.; Paton, D.M.; Blancafort, P.; Casta馿r, J.
来源:Drugs Fut 1983,8(6),519
合成路线图解说明:

The cyclization of N1-(2-fluorobenzoyl)-N2-methyl-N2-phenyl-2-hydroxy-1,3-diaminopropane (I) with refluxing POCl3 gives 1-methyl-2-chloromethyl-5-(2-fluorophenyl)-1H-2,3-dihydro-1,4-benzodiazepine (II), which by condensation with potassium phthalimide (III) in refluxing methanol yields the corresponding phthalimido derivative (IV). The cleavage of (IV) with hydrazine in refluxing ethanol affords 1-methyl-2-aminomethyl-5-(2-fluorophenyl)-1H-2,3-dihydro-1,4-benzodiazepine (V), which is finally condensed with thiophene-3-carbonyl chloride (VI) by means of triethylamine in methylene chloride.

Drug Information Express,Drug R&D,Chemical Database,Patent Search.
Copyright © 2006-2026 Drug Future. All rights reserved.Contact Us