【药物名称】Dicloguamine maleate, Irsogladine maleate, MN-1695, Gaslon
化学结构式(Chemical Structure):
参考文献No.46489
标题:Benzoguanamine derivatives
作者:Murai, H.; Ohata, K.; Aoyagi, Y.; Ueda, F.; Kitano, M.; Takata, S.; Toda, S. (Nippon Shinyaku Co., Ltd.)
来源:CH 592638; DE 2506814; FR 2261009; GB 1441904; JP 77111086; JP 7746955; NL 7501575; US 3966728
合成路线图解说明:

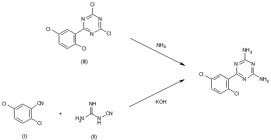
This compound can be obtained by two different ways: 1) By cyclization of 2,5-dichlorobenzonitrile (I) with dicyandiamide (II) with KOH in refluxing methyl cellosolve, followed by treatment with maleic acid in dioxane. 2) By treatment of 2,4-dichloro-6-(2,5-dichlorophenyl)-s-triazine (III) with 28% aqueous ammonia at 100 C.

参考文献No.46626
标题:Dihalobenzoguanamines with anti-ulcus activity
作者:Murai, H.; Ohata, K.; Aoyagi, Y.; Ueda, F. (Nippon Shinyaku Co., Ltd.)
来源:CH 596193; JP 51075083; NL 7514062
合成路线图解说明:

This compound can be obtained by two different ways: 1) By cyclization of 2,5-dichlorobenzonitrile (I) with dicyandiamide (II) with KOH in refluxing methyl cellosolve, followed by treatment with maleic acid in dioxane. 2) By treatment of 2,4-dichloro-6-(2,5-dichlorophenyl)-s-triazine (III) with 28% aqueous ammonia at 100 C.

参考文献No.67214
标题:MN-1695
作者:Serradell, M.N.; Blancafort, P.; Casta馿r, J.
来源:Drugs Fut 1983,8(6),502
合成路线图解说明:

This compound can be obtained by two different ways: 1) By cyclization of 2,5-dichlorobenzonitrile (I) with dicyandiamide (II) with KOH in refluxing methyl cellosolve, followed by treatment with maleic acid in dioxane. 2) By treatment of 2,4-dichloro-6-(2,5-dichlorophenyl)-s-triazine (III) with 28% aqueous ammonia at 100 C.

Drug Information Express,Drug R&D,Chemical Database,Patent Search.
Copyright © 2006-2026 Drug Future. All rights reserved.Contact Us