【药物名称】Nipradolol, Nipradilol, KT-210, K-351, Nipranol, Hypadil
化学结构式(Chemical Structure):
参考文献No.46490
标题:Dihydrobenzopyran compounds and pharmaceutical composition comprising said compounds
作者:Shiratsuohi, M.; Shimizu, N.; Shigyo, H.; Kyotani, Y.; Kunieda, H.; Kawamura, K.; Sato, S.; Akashi, T.; Nagakura, M. (Kowa Co., Ltd.)
来源:EP 0042299; JP 57007481; JP 82106619
合成路线图解说明:

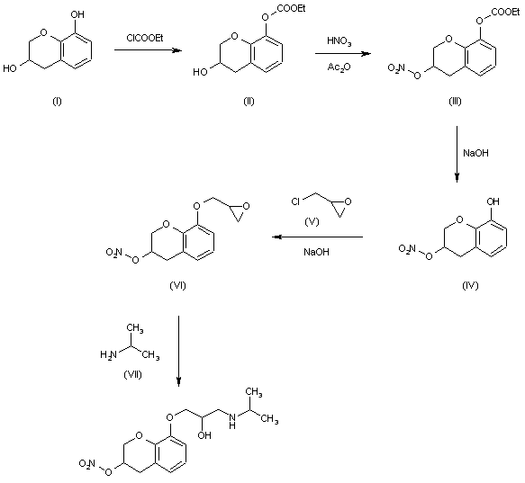
The reaction of 3,4-dihydro-2H-1-benzopyran-3,8-diol (I) with ethyl chloroformate by means of triethylamine in THF gives 3,4-dihydro-8-lethoxy carbonyloxyl-2H-1-benzopyran-3-ol (II), which is treated with nitric acid and acetic anhydride in acetonitrile to yield 3,4-dihydro-8-(ethoxycarbonyloxy)-2H-1-benzopyran-3-ol-3-nitrate (III). The hydrolysis of (III) with NaOH in methanol affords 3,4-dihydro-8-hydroxy-2H-1-benzopyran-3-ol 3-nitrate (IV), which is condensed with epichlorohydrin (V) by means of NaOH in water giving 3,4-dihydro-8-(2,3-epoxypropoxy)-2H-1-benzopyran-3-ol 3-nitrate (VI). Finally, this compound is treated with isopropylamine in refluxing ethanol.

参考文献No.67242
标题:K-351
作者:Blancafort, P.; Thorpe, P.J.; Serradell, M.N.; Casta馿r, J.
来源:Drugs Fut 1983,8(6),497
合成路线图解说明:

The reaction of 3,4-dihydro-2H-1-benzopyran-3,8-diol (I) with ethyl chloroformate by means of triethylamine in THF gives 3,4-dihydro-8-lethoxy carbonyloxyl-2H-1-benzopyran-3-ol (II), which is treated with nitric acid and acetic anhydride in acetonitrile to yield 3,4-dihydro-8-(ethoxycarbonyloxy)-2H-1-benzopyran-3-ol-3-nitrate (III). The hydrolysis of (III) with NaOH in methanol affords 3,4-dihydro-8-hydroxy-2H-1-benzopyran-3-ol 3-nitrate (IV), which is condensed with epichlorohydrin (V) by means of NaOH in water giving 3,4-dihydro-8-(2,3-epoxypropoxy)-2H-1-benzopyran-3-ol 3-nitrate (VI). Finally, this compound is treated with isopropylamine in refluxing ethanol.

Drug Information Express,Drug R&D,Chemical Database,Patent Search.
Copyright © 2006-2026 Drug Future. All rights reserved.Contact Us