【药物名称】Benzotript, CR-501
化学结构式(Chemical Structure):
参考文献No.
47218
标题:
N-p-Chlorobenzoyl tryptophane salts and compsns. thereof
作者:
Rovati, L.S.; Picciola, G.; Makovec, F. (Rotta Research Laboratorium SpA)
来源:
US 4000297
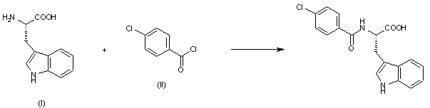
合成路线图解说明:
By acylation of L-tryptophan (I) with 4-chlorobenzoyl chloride (II).
参考文献No.
67142
标题:
Benzotript
作者:
Blancafort, P.; Casta馿r, J.; Serradell, M.N.; de Angelis, L.
来源:
Drugs Fut 1983,8(6),487
合成路线图解说明:
By acylation of L-tryptophan (I) with 4-chlorobenzoyl chloride (II).
Drug Information Express,Drug R&D,Chemical Database,Patent Search.
Copyright © 2006-2026
Drug Future
. All rights reserved.
Contact Us