【药物名称】Denopamine, TA-064, Kalgut
化学结构式(Chemical Structure):
参考文献No.46743
标题:Benzyl alcohol, amine derivatives
作者:Ikezaki, M.; Ito, N.; Okazaki, Y.; Hoshiyama, M.; Nagao, T. (Tanabe Seiyaku Co., Ltd.)
来源:AT 343628B; BE 0833731; DE 2542881; FR 2326182; GB 1499345; JP 50157327; JP 53010974; JP 7795620; JP 7795621; NL 7511564; US 4032575; US 4072759
合成路线图解说明:

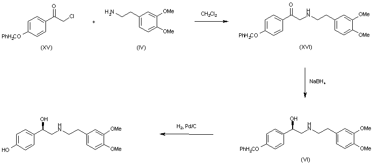
The condensation of 4-benzyloxyphenacyl chloride (XV) with the amine (IV) in refluxing CH2Cl2 gives N-(3,4-dimethoxyphenylethyl)-4-benzyloxyphenacylamine (XVI), which is reduced with NaSH4 in ethanol, also affording the protected product (VI).

参考文献No.62295
标题:TA-064
作者:Blancafort, P.; Casta馿r, J.; Serradell, M.N.
来源:Drugs Fut 1982,7(6),407
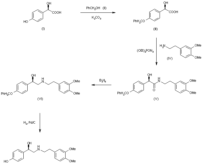
合成路线图解说明:

The benzylation of 4-hydroxymandelic acid (I) with benzyl alcohol (II) and K2CO3 in methanol gives 4-benzyloxymandelic acid (III), which is condensed with 2-(3,4-dimethoxyphenyl)ethylamine (IV) by means of (C2H5O)2PON3 in THF to afford N-(3,4-dimethoxyphenylethyl)-4-benzyloxymandelamide (V). The reduction of (V) with diborane in THF yields the final product protected at the phenolic hydroxyl (VI) This compound is finally deprotected by hydrogenolysis with H2 over Pd/C.

合成路线图解说明:

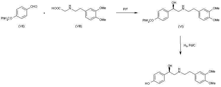
The condensation of 4-benzyloxybenzaldehyde (VII) with N-(3,4-dimethoxyphenylethyl)glycine (VIII) in refluxing pyridine also gives the protected product (VI).

合成路线图解说明:

The condensation of 4-benzyloxyphenacyl chloride (XV) with the amine (IV) in refluxing CH2Cl2 gives N-(3,4-dimethoxyphenylethyl)-4-benzyloxyphenacylamine (XVI), which is reduced with NaSH4 in ethanol, also affording the protected product (VI).

合成路线图解说明:

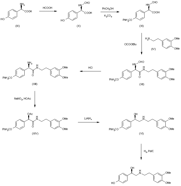
The formylation of 2-(4-hydroxyphenyl)glycine (IX) as usual gives N-formyl-2-(4-hydroxyphenyl)glycine (X), which by treatment with benzyl alcohol as before yields N-formyl-2-(4-benzyloxyphenyl)glycine (XI). The condensation of (XI) with the amine (IV) by means of butyl chloroformate affords the corresponding amide (XII), which is deformylated by treatment with HCl in methanol to give the glycinamide (XIII). The diazotation of (XIII) with NaNO2 in acetic acid affords N-(3,4-dimethoxyphenylethyl)-O-acetyl-4-benzyloxymandel-amide (XIV), which is finally reduced and deacetylated with LiAlH4 in THF yielding the protected product (VI).

合成路线图解说明:

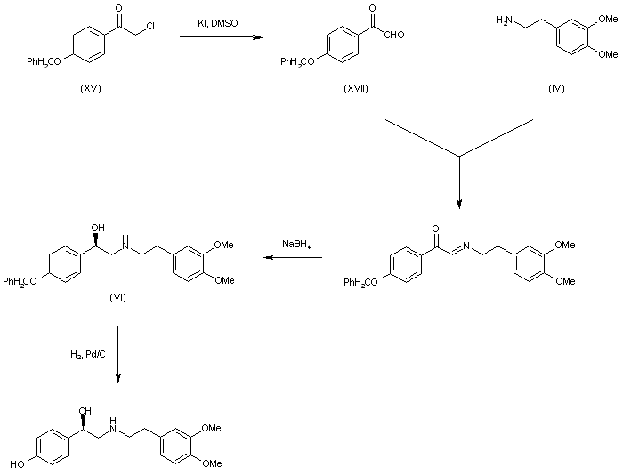
The oxidation of 4-benzyloxyphenacyl chloride (XV) with KI and DMSO gives 4-benzyloxy-alpha-oxophenylacetaldehyde (XVII), which is condensed with the amine (IV) to afford the corresponding Schiff base (XVIII). Finally, this compound is reduced with NaBH4 yielding the protected product (VI), already obtained.

合成路线图解说明:

By reduction of benzyl (4-benzyloxy)phenacyl-(3,4-dimethoxyphenethyl)carbamate (XIX) with sodium prolinate-borane complex (XX) and hydrogenation over 10% palladium on a carbon catalyst.

参考文献No.138281
标题:A catalytic enantioselective synthesis of denopamine, a useful drug for congestive heart failure
作者:Link, J.O.; Corey, E.J.
来源:J Org Chem 1991,56(1),442
合成路线图解说明:

A new enantioselective synthesis of R-(-)-denopamine has been published: The silylation of 4-hydroxyphenacyl chloride (I) with tert-butyldimethylchlorosilane (II) and imidazole in THF gives the silylated compound (III), which is enantioselectively reduced with borane, using the (R)-oxaazaborilidine (IV) as optically active catalyst in THF, yielding (R)-2-chloro-1-[4-(tert-butyldimethylsilyloxy)phenyl]ethanol (V). The reaction of (V) with NaI in refluxing acetone affords the corresponding iodo-alcohol (VI), which is protected with triethylchlorosilane and imidazole in DMF to give the fully silylated compound (VIII). The condensation of (VIII) with 2-(3,4-dimethoxyphenyl)ethylamine (IX) by means of triethylamine in THF at 100 C in a sealed tube yields the fully silylated denopamine (X), which is finally deprotected by a treatment with KF and HCl in methanol.

参考文献No.211852
标题:Asymmetric reduction of aromatic ketones. I. Enantioselective synthesis of denopamine
作者:Takeda, M.; Saito, K.; Kawaguchi, T.; Matsuki, K.; Iwakuma, T.
来源:Chem Pharm Bull 1993,41(4),639
合成路线图解说明:

A new enantioselective synthesis for denopamine has been reported: The acylation of 1-(4-benzyloxyphenyl)-2-[2-(3,4-dimethoxyphenyl)ethylamino]ethanone (I) with benzyloxycarbonyl chloride (II) by means of NaHCO3 in dichloromethane gives the protected aminoketone (III), which is submitted to an asymmetric reduction with (R)-(+)-2-amino-3-methyl-1,1-diphenyl-1-butanol-borane complex in THF yielding the (R)-(-)-protected alcohol (V). Finally, the debenzylation of (V) by hydrogenolysis with H2 over Pd/C in methanol affords denopamine with 96% optical purity.

参考文献No.700774
标题:Preparation of optically active benzyl alcohol derivative
作者:Noguchi, K.; Irie, K.
来源:JP 54070231
合成路线图解说明:

The benzylation of 4-hydroxymandelic acid (I) with benzyl alcohol (II) and K2CO3 in methanol gives 4-benzyloxymandelic acid (III), which is condensed with 2-(3,4-dimethoxyphenyl)ethylamine (IV) by means of (C2H5O)2PON3 in THF to afford N-(3,4-dimethoxyphenylethyl)-4-benzyloxymandelamide (V). The reduction of (V) with diborane in THF yields the final product protected at the phenolic hydroxyl (VI) This compound is finally deprotected by hydrogenolysis with H2 over Pd/C.

参考文献No.700775
标题:Process for preparation of benzyl alcohol derivatives
作者:Ikezaki, M.; Umino, N.; Iwakuma, T.
来源:JP 52051333
合成路线图解说明:

The condensation of 4-benzyloxybenzaldehyde (VII) with N-(3,4-dimethoxyphenylethyl)glycine (VIII) in refluxing pyridine also gives the protected product (VI).

参考文献No.700776
标题:Preparation of optically active benzyl alcohol derivative
作者:Noguchi, K.; Irie, K.
来源:JP 54070232
合成路线图解说明:

The formylation of 2-(4-hydroxyphenyl)glycine (IX) as usual gives N-formyl-2-(4-hydroxyphenyl)glycine (X), which by treatment with benzyl alcohol as before yields N-formyl-2-(4-benzyloxyphenyl)glycine (XI). The condensation of (XI) with the amine (IV) by means of butyl chloroformate affords the corresponding amide (XII), which is deformylated by treatment with HCl in methanol to give the glycinamide (XIII). The diazotation of (XIII) with NaNO2 in acetic acid affords N-(3,4-dimethoxyphenylethyl)-O-acetyl-4-benzyloxymandel-amide (XIV), which is finally reduced and deacetylated with LiAlH4 in THF yielding the protected product (VI).

参考文献No.700777
标题:Preparation of optically active benzyl alcohol derivative
作者:Noguchi, K.; Irie, K.
来源:JP 54070233
合成路线图解说明:

The formylation of 2-(4-hydroxyphenyl)glycine (IX) as usual gives N-formyl-2-(4-hydroxyphenyl)glycine (X), which by treatment with benzyl alcohol as before yields N-formyl-2-(4-benzyloxyphenyl)glycine (XI). The condensation of (XI) with the amine (IV) by means of butyl chloroformate affords the corresponding amide (XII), which is deformylated by treatment with HCl in methanol to give the glycinamide (XIII). The diazotation of (XIII) with NaNO2 in acetic acid affords N-(3,4-dimethoxyphenylethyl)-O-acetyl-4-benzyloxymandel-amide (XIV), which is finally reduced and deacetylated with LiAlH4 in THF yielding the protected product (VI).

参考文献No.700779
标题:Process for preparation of benzyl alcohol derivatives
作者:Ikezaki, M.; Umino, N.; Iwakuma, T.
来源:JP 52051335
合成路线图解说明:

The oxidation of 4-benzyloxyphenacyl chloride (XV) with KI and DMSO gives 4-benzyloxy-alpha-oxophenylacetaldehyde (XVII), which is condensed with the amine (IV) to afford the corresponding Schiff base (XVIII). Finally, this compound is reduced with NaBH4 yielding the protected product (VI), already obtained.

参考文献No.700780
标题:Process for preparation of benzyl alcohol derivatives
作者:Ikezaki, M.; Umino, N.; Iwakuma, T.
来源:JP 52051334
合成路线图解说明:

The oxidation of 4-benzyloxyphenacyl chloride (XV) with KI and DMSO gives 4-benzyloxy-alpha-oxophenylacetaldehyde (XVII), which is condensed with the amine (IV) to afford the corresponding Schiff base (XVIII). Finally, this compound is reduced with NaBH4 yielding the protected product (VI), already obtained.

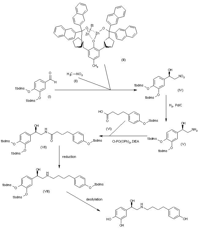
参考文献No.701703
标题:Effect of ligand structure on the zinc-catalyzed Henry reaction. Asymmetric syntheses of (-)-denopamine and (-)-arbutamine
作者:Trost, B.M.; Yeh, V.S.C.; Ito, H.; Bremeyer, N.
来源:Org Lett 2002,4(16),2621
合成路线图解说明:

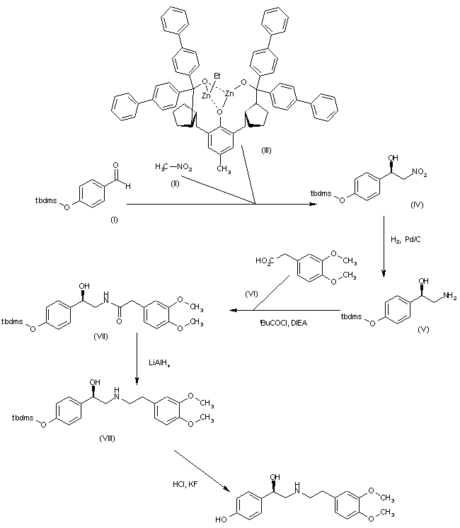
The enantioselective condensation of 4-(tert-butyldimethylsilyloxy)benzaldehyde (I) with nitromethane (II), catalyzed by the chiral Zn ligand complex (III) in THF gives the (R)-2-nitroethanol derivative (IV), which is reduced with H2 over Pd/C in ethanol to yield the 2-aminoethanol derivative (V). The condensation of (V) with carboxylic acid (VI) by means of 2,2-dimethylpropanoyl chloride and DIEA in THF affords the corresponding amide (VII), which is reduced with LiAlH4 in Et2O to yield the protected hydroxyamine (VIII). Finally, this compound is desilylated by means of HCl and KF in MeOH to furnish the target tetrahydroxyamine derivative.

合成路线图解说明:

The enantioselective condensation of 3,4-bis(tert-butyldimethylsilyloxy)benzaldehyde (I) with nitromethane (II), catalyzed by the chiral Zn ligand complex (III) in THF gives the (R)-2-nitroethanol derivative (IV), which is reduced with H2 over Pd/C in methanol to yield the 2-aminoethanol derivative (V). The condensation of (V) with 4-[4-(tert-butyldimethylsilyloxy)phenyl]butyric acid (VI) by means of diphenyl chlorophosphate and DIEA in dichloromethane affords the corresponding amide (VII), which is reduced by conventional methods to the protected hydroxyamine (VIII). Finally, this compound is desilylated as usual to furnish the target tetrahydroxyamine derivative.

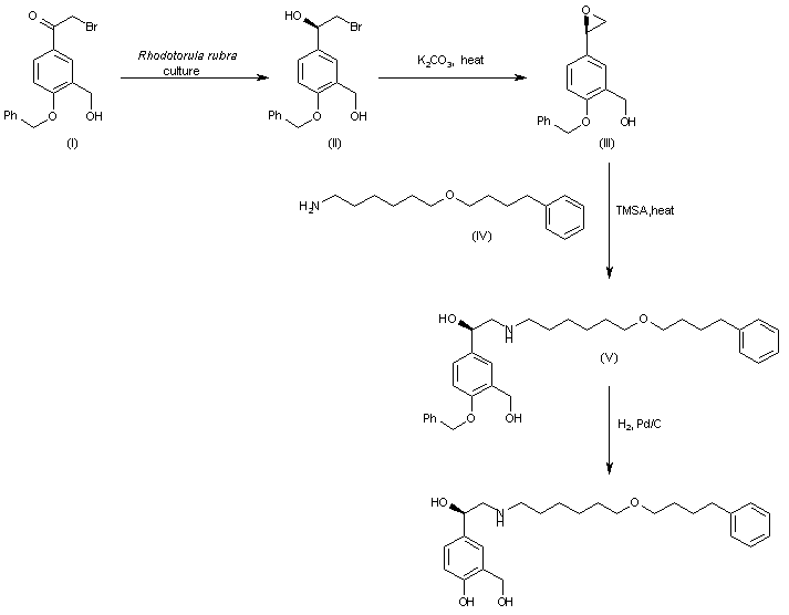
参考文献No.720393
标题:A conventient stereoselective synthesis of (R)-(-)-denopamine and (R)-(-)-salmeterol
作者:Goswami, J.; et al.
来源:Tetrahedron Asymmetry 2001,12(24),3343
合成路线图解说明:

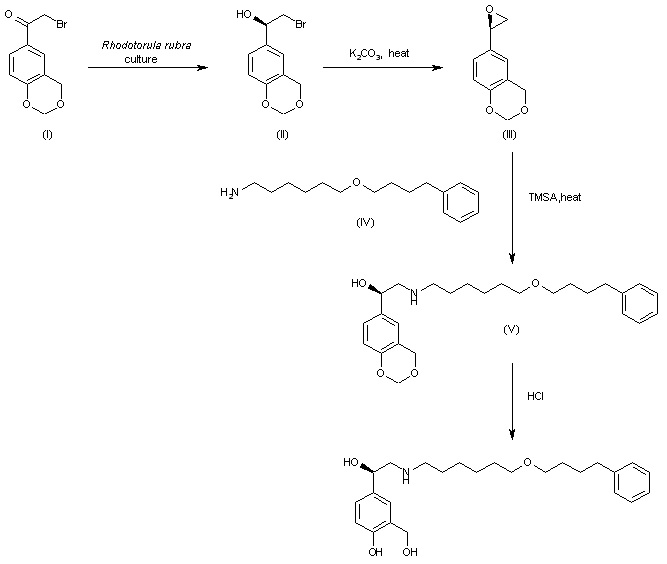
The enantioselective reduction of the phenacyl bromide (I) by means of a culture of Rhodotolule rubra in water gives the a(R)-hydroxy enantiomer (II), which is treated with K2CO3 in refluxing ethanol to yield the chiral epoxide (III). The condensation of (III) with 2-(3,4-dimethoxyphenyl)ethylamine (IV) by means of N,O-bis(trimethylsilyl)acetamide (TMSA) in hot DMSO affords the benzylated precursor (V), which is finally deprotected by means of HCl in water to provide the target Denopamine.

合成路线图解说明:

The enantioselective reduction of the phenacyl bromide (I) by means of a culture of Rhodotolule rubra in water gives the a(R)-hydroxy enantiomer (II), which is treated with K2CO3 in refluxing ethanol to yield the chiral epoxide (III). The condensation of (III) with 6-(4-phenylbutoxy)hexylamine (IV) by means of N,O-bis(trimethylsilyl)acetamide (TMSA) in hot DMSO affords the precursor (V), which is finally deprotected by means of HCl in water to provide the target (R)-salmeterol.

合成路线图解说明:

The enantioselective reduction of the phenacyl bromide (I) by means of a culture of Rhodotolule rubra in water gives the a(R)-hydroxy enantiomer (II), which is treated with K2CO3 in refluxing ethanol to yield the chiral epoxide (III). The condensation of (III) with 6-(4-phenylbutoxy)hexylamine (IV) by means of N,O-bis(trimethylsilyl)acetamide (TMSA) in hot DMSO affords the benzylated precursor (V), which is finally deprotected by means of H2,Pd/C in water to provide the target (R)-salmeterol.

参考文献No.800156
标题:Asymetric reduction of various ketones with the sodium salts of alpha-amino acid borane complex
作者:Iwakuma, T.; Umino, N.; Itoh, N.
来源:Chem Pharm Bull 1979,27(6),1479-81
合成路线图解说明:

By reduction of benzyl (4-benzyloxy)phenacyl-(3,4-dimethoxyphenethyl)carbamate (XIX) with sodium prolinate-borane complex (XX) and hydrogenation over 10% palladium on a carbon catalyst.

Drug Information Express,Drug R&D,Chemical Database,Patent Search.
Copyright © 2006-2026 Drug Future. All rights reserved.Contact Us