【药物名称】Trequinsin hydrochloride, HL-725
化学结构式(Chemical Structure):
参考文献No.67120
标题:HL-725
作者:Arya, V.P.
来源:Drugs Fut 1982,7(6),390
合成路线图解说明:

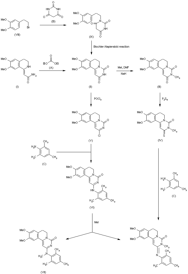
HL-725 has been synthesized in a variety of ways: 1) 1-Carbamoylmethylene-6,7-methoxy-1,2,3,4-tetrahydroisoquinoline (I) was cyclized on treatment with diethylcarbonate (A) to give 9,10-dimethoxy-3,4,6,7-tetrahydro-2H-pyrimido[6,1-a]isoquinoline-2,4-dione (II). Methylation of (II) with methyliodide in dimethylformamide in the presence of sodium hydride afforded (III). The N-methyl compound (III) was treated with phosphorous pentasulfide to give the thio compound (IV). Reaction of (IV) with mesidine (C) afforded HL-725. 2) Alternately, the compound (II) was reacted with phosphorous oxychloride to yield the chloro compound (V), which was then reacted with mesidine to give the mesitylino derivative (VI). Methylation of (VI) with methyliodide afforded HL-725 and the exo-N-methyl isomer (VII), which were separated chromatographcally. 3) 3,4-Dimethoxy-beta-phenethyl bromide (VIII) was reacted with barbituric acid (B) to give the alkylated product (IX). Bischler-Napieralski-type cyclization afforded (II), which was then converted to HL-725 by the appropriate route.

参考文献No.701292
标题:
作者:
来源:DE 2720085
合成路线图解说明:

HL-725 has been synthesized in a variety of ways: 1) 1-Carbamoylmethylene-6,7-methoxy-1,2,3,4-tetrahydroisoquinoline (I) was cyclized on treatment with diethylcarbonate (A) to give 9,10-dimethoxy-3,4,6,7-tetrahydro-2H-pyrimido[6,1-a]isoquinoline-2,4-dione (II). Methylation of (II) with methyliodide in dimethylformamide in the presence of sodium hydride afforded (III). The N-methyl compound (III) was treated with phosphorous pentasulfide to give the thio compound (IV). Reaction of (IV) with mesidine (C) afforded HL-725. 2) Alternately, the compound (II) was reacted with phosphorous oxychloride to yield the chloro compound (V), which was then reacted with mesidine to give the mesitylino derivative (VI). Methylation of (VI) with methyliodide afforded HL-725 and the exo-N-methyl isomer (VII), which were separated chromatographcally. 3) 3,4-Dimethoxy-beta-phenethyl bromide (VIII) was reacted with barbituric acid (B) to give the alkylated product (IX). Bischler-Napieralski-type cyclization afforded (II), which was then converted to HL-725 by the appropriate route.

参考文献No.701293
标题:
作者:Lal, B.; D'Sa, A.
来源:33rd Ind Pharm Cong (Dec 21, Jaipur) 1981,16(Suppl. 1),
合成路线图解说明:

HL-725 has been synthesized in a variety of ways: 1) 1-Carbamoylmethylene-6,7-methoxy-1,2,3,4-tetrahydroisoquinoline (I) was cyclized on treatment with diethylcarbonate (A) to give 9,10-dimethoxy-3,4,6,7-tetrahydro-2H-pyrimido[6,1-a]isoquinoline-2,4-dione (II). Methylation of (II) with methyliodide in dimethylformamide in the presence of sodium hydride afforded (III). The N-methyl compound (III) was treated with phosphorous pentasulfide to give the thio compound (IV). Reaction of (IV) with mesidine (C) afforded HL-725. 2) Alternately, the compound (II) was reacted with phosphorous oxychloride to yield the chloro compound (V), which was then reacted with mesidine to give the mesitylino derivative (VI). Methylation of (VI) with methyliodide afforded HL-725 and the exo-N-methyl isomer (VII), which were separated chromatographcally. 3) 3,4-Dimethoxy-beta-phenethyl bromide (VIII) was reacted with barbituric acid (B) to give the alkylated product (IX). Bischler-Napieralski-type cyclization afforded (II), which was then converted to HL-725 by the appropriate route.

参考文献No.803600
标题:Trequinsin and its analogs
作者:Sas, G.; Blask? G.
来源:Drugs Fut 1989,14(11),1083-91
合成路线图解说明:

HL-725 has been synthesized in a variety of ways: 1) 1-Carbamoylmethylene-6,7-methoxy-1,2,3,4-tetrahydroisoquinoline (I) was cyclized on treatment with diethylcarbonate (A) to give 9,10-dimethoxy-3,4,6,7-tetrahydro-2H-pyrimido[6,1-a]isoquinoline-2,4-dione (II). Methylation of (II) with methyliodide in dimethylformamide in the presence of sodium hydride afforded (III). The N-methyl compound (III) was treated with phosphorous pentasulfide to give the thio compound (IV). Reaction of (IV) with mesidine (C) afforded HL-725. 2) Alternately, the compound (II) was reacted with phosphorous oxychloride to yield the chloro compound (V), which was then reacted with mesidine to give the mesitylino derivative (VI). Methylation of (VI) with methyliodide afforded HL-725 and the exo-N-methyl isomer (VII), which were separated chromatographcally. 3) 3,4-Dimethoxy-beta-phenethyl bromide (VIII) was reacted with barbituric acid (B) to give the alkylated product (IX). Bischler-Napieralski-type cyclization afforded (II), which was then converted to HL-725 by the appropriate route.

参考文献No.803856
标题:Trequinsin, a potent antihypertensive vasodilator in the series of 2-(arylimino)-3-alkyl-9,10-dimethoxy-3,4,6,7-tetrahydro-2H-pyrimido-[6,1-a]isoquinolin-4-ones
作者:de Souza, N.J.; Dadkar, N.K.; Lal, B.; D'Sa, A.; Dohadwalla, A.N.
来源:J Med Chem 1984,271470-80
合成路线图解说明:

HL-725 has been synthesized in a variety of ways: 1) 1-Carbamoylmethylene-6,7-methoxy-1,2,3,4-tetrahydroisoquinoline (I) was cyclized on treatment with diethylcarbonate (A) to give 9,10-dimethoxy-3,4,6,7-tetrahydro-2H-pyrimido[6,1-a]isoquinoline-2,4-dione (II). Methylation of (II) with methyliodide in dimethylformamide in the presence of sodium hydride afforded (III). The N-methyl compound (III) was treated with phosphorous pentasulfide to give the thio compound (IV). Reaction of (IV) with mesidine (C) afforded HL-725. 2) Alternately, the compound (II) was reacted with phosphorous oxychloride to yield the chloro compound (V), which was then reacted with mesidine to give the mesitylino derivative (VI). Methylation of (VI) with methyliodide afforded HL-725 and the exo-N-methyl isomer (VII), which were separated chromatographcally. 3) 3,4-Dimethoxy-beta-phenethyl bromide (VIII) was reacted with barbituric acid (B) to give the alkylated product (IX). Bischler-Napieralski-type cyclization afforded (II), which was then converted to HL-725 by the appropriate route.

Drug Information Express,Drug R&D,Chemical Database,Patent Search.
Copyright © 2006-2026 Drug Future. All rights reserved.Contact Us